Earthquake Information
 Origin Time
2024-11-03 17:06:45 (GMT)
 Magnitude
M 4.3
 Latitude
40.1615° N
 Longitude
23.2442° E
 Focal Depth
6 km
 # of Arrivals
24
 Location 28.8 km SW of Poliyiros
59.0 km SSE of Thessaloniki
245.9 km N of Athens
 Solution type
manual
 Files / Links
QuakeML  GSE2.0  Alert  .phi  ShakeMap  
  

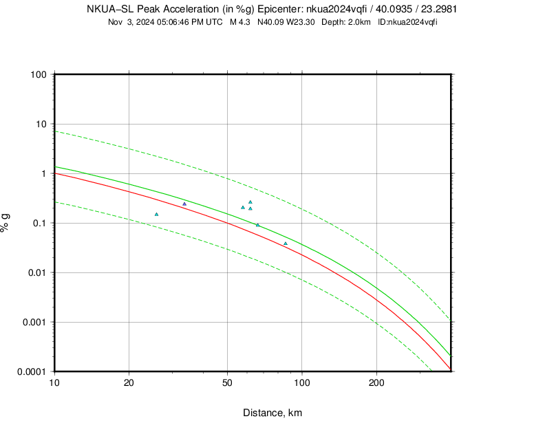
  Intensity map


PGA
PGV
MI

Download files: Google Earth (.kmz), Measurements (.csv)


  Station data

StationNetDist.(km)Azim.PhaseArr.TimeRes.Wgt.Type
GR131Y21.7347 P17:06:49.08 -0.11.0M
GR131Y21.7347 S17:06:52.25 -0.11.0M
PLGHL28.8 36 P17:06:50.42 0.01.0M
PLGHL28.8 36 S17:06:54.47 -0.21.0M
PLN1HI33.5123 P17:06:51.44 0.31.0M
PLN1HI33.5123 S17:06:56.43 0.61.0M
PAIGHT44.5124 P17:06:52.87 -0.11.0M
PAIGHT44.5124 S17:06:58.91 -0.21.0M
HORTHT50.0346 P17:06:53.65 -0.21.0M
HORTHT50.0346 S17:07:00.35 -0.51.0M
OURHT65.5 73 P17:06:56.37 0.11.0M
OURHT65.5 73 S17:07:04.65 -0.41.0M
GR181Y68.8226 P17:06:57.25 0.21.0M
GR181Y68.8226 S17:07:06.20 -0.11.0M
HMT1HT85.9 83 P17:06:59.00 -0.81.0M
HMT1HT85.9 83 S17:07:10.93 -0.11.0M
KOKKHT97.0 41 P17:07:02.08 0.61.0M
KOKKHT97.0 41 S17:07:14.36 0.21.0M
ALNAHL120.0155 P17:07:05.29 -0.51.0M
ALNAHL120.0155 S17:07:20.93 -0.81.0M
NVRHL142.0 22 P17:07:09.09 0.61.0M
NVRHL142.0 22 S17:07:26.88 0.31.0M
KKBBS187.1357 P17:07:15.37 0.41.0M
KKBBS187.1357 S17:07:38.05 0.11.0M


  Solution details

Event:
    Public ID              nkua2024vqfi
    Description
      region name: Greece
Origin:
    Date                   2024-11-03
    Time                  17:06:44.82
    Latitude              40.1615 deg  +/-      0 km
    Longitude             23.2442 deg  +/-      0 km
    Depth                       6 km   +/-    2 km
    Agency                 HA
    Author                 A. Karakonstantis
    Mode                   manual
    Status                 confirmed
    Residual RMS             0.33 s
    Azimuthal gap             120 deg

2 Network magnitudes:
    MLv       4.30 +/- 0.31  10            
    M         4.30           10 preferred  

24 Phase arrivals:
    sta  net   dist azi  phase   time          res     wt  sta
    GR13  1Y    0.2 347  P       17:06:49.08  -0.1 M  1.0  GR13 
    GR13  1Y    0.2 347  S       17:06:52.25  -0.1 M  1.0  GR13 
    PLG   HL    0.3  36  P       17:06:50.42   0.0 M  1.0  PLG  
    PLG   HL    0.3  36  S       17:06:54.47  -0.2 M  1.0  PLG  
    PLN1  HI    0.3 123  P       17:06:51.44   0.3 M  1.0  PLN1 
    PLN1  HI    0.3 123  S       17:06:56.43   0.6 M  1.0  PLN1 
    PAIG  HT    0.4 124  P       17:06:52.87  -0.1 M  1.0  PAIG 
    PAIG  HT    0.4 124  S       17:06:58.91  -0.2 M  1.0  PAIG 
    HORT  HT    0.4 346  P       17:06:53.65  -0.2 M  1.0  HORT 
    HORT  HT    0.4 346  S       17:07:00.35  -0.5 M  1.0  HORT 
    OUR   HT    0.6  73  P       17:06:56.37   0.1 M  1.0  OUR  
    OUR   HT    0.6  73  S       17:07:04.65  -0.4 M  1.0  OUR  
    GR18  1Y    0.6 226  P       17:06:57.25   0.2 M  1.0  GR18 
    GR18  1Y    0.6 226  S       17:07:06.20  -0.1 M  1.0  GR18 
    HMT1  HT    0.8  83  P       17:06:59.00  -0.8 M  1.0  HMT1 
    HMT1  HT    0.8  83  S       17:07:10.93  -0.1 M  1.0  HMT1 
    KOKK  HT    0.9  41  P       17:07:02.08   0.6 M  1.0  KOKK 
    KOKK  HT    0.9  41  S       17:07:14.36   0.2 M  1.0  KOKK 
    ALNA  HL    1.1 155  P       17:07:05.29  -0.5 M  1.0  ALNA 
    ALNA  HL    1.1 155  S       17:07:20.93  -0.8 M  1.0  ALNA 
    NVR   HL    1.3  22  P       17:07:09.09   0.6 M  1.0  NVR  
    NVR   HL    1.3  22  S       17:07:26.88   0.3 M  1.0  NVR  
    KKB   BS    1.7 357  P       17:07:15.37   0.4 M  1.0  KKB  
    KKB   BS    1.7 357  S       17:07:38.05   0.1 M  1.0  KKB  

12 Station magnitudes:
    sta  net   dist azi  type   value   res        amp per
    GR13  1Y    0.2 347  MLv     3.45 -0.86    63.6669      
    PLG   HL    0.3  36  MLv     3.82 -0.49    98.3101      
    PLN1  HI    0.3 123  MLv     3.70 -0.60    58.0128      
    PAIG  HT    0.4 124  MLv     4.05 -0.26    52.7251      
    HORT  HT    0.4 346  MLv     4.77  0.47    179.646      
    OUR   HT    0.6  73  MLv     4.25 -0.05     42.131      
    GR18  1Y    0.6 226  MLv     4.62  0.32    95.0835      
    HMT1  HT    0.8  83  MLv     4.50  0.19    58.5249      
    KOKK  HT    0.9  41  MLv     4.48  0.18    49.9591      
    ALNA  HL    1.1 155  MLv     4.28 -0.02     22.784      
    NVR   HL    1.3  22  MLv     4.53  0.23    24.7237      
    KKB   BS    1.7 357  MLv     4.70  0.40    29.3859