Earthquake Information
 Origin Time
2024-10-19 07:08:33 (GMT)
 Magnitude
M 4.8
 Latitude
34.9645° N
 Longitude
26.3392° E
 Focal Depth
8 km
 # of Arrivals
42
 Location 106.9 km SW of Karpathos
117.0 km ESE of Iraklion
408.6 km SE of Athens
 Solution type
manual
 Files / Links
QuakeML  GSE2.0  Alert  .phi  ShakeMap  
  

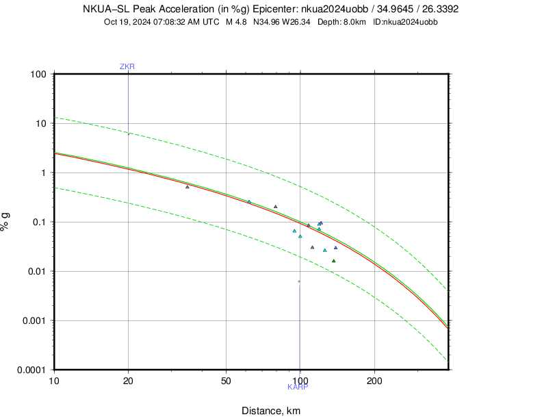
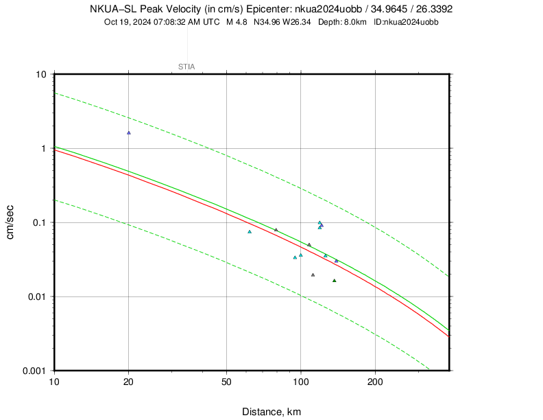
  Intensity map


PGA
PGV
MI

Download files: Google Earth (.kmz), Measurements (.csv)


  Station data

StationNetDist.(km)Azim.PhaseArr.TimeRes.Wgt.Type
ZKRHL20.1326 P07:08:36.22 -0.51.0M
ZKRHL20.1326 S07:08:39.47 -0.31.0M
STIAHC34.8319 P07:08:38.40 -0.71.0M
STIAHC34.8319 S07:08:43.54 -0.51.0M
AGN1HI62.0294 P07:08:42.82 -0.81.0M
AGN1HI62.0294 S07:08:51.56 -0.31.0M
KTL1HI94.6287 P07:08:48.12 -0.81.0M
KTL1HI94.6287 S07:09:01.03 -0.11.0M
KARPHL98.8 49 P07:08:49.25 -0.31.0M
KARPHL98.8 49 S07:09:01.91 -0.41.0M
ARK1HI100.0282 P07:08:49.78 0.11.0M
ARK1HI100.0282 S07:09:02.84 0.11.0M
TEFLHC108.0278 P07:08:51.13 0.11.0M
TEFLHC108.0278 S07:09:05.19 0.21.0M
KNSSHC112.0290 P07:08:51.83 0.21.0M
KNSSHC112.0290 S07:09:05.80 -0.21.0M
HER1HI119.1289 P07:08:53.05 0.31.0M
HER1HI119.1289 S07:09:07.75 -0.21.0M
HER3HI119.2290 P07:08:52.93 0.21.0M
HER3HI119.2290 S07:09:07.70 -0.21.0M
IACMHL121.4288 P07:08:53.35 0.31.0M
IACMHL121.4288 S07:09:08.26 -0.31.0M
GOR1HI125.8275 P07:08:53.26 -0.51.0M
GOR1HI125.8275 S07:09:10.35 0.61.0M
IDIMN136.6285 P07:08:55.37 -0.11.0M
IDIMN136.6285 S07:09:13.47 0.61.0M
SIVAHL139.2272 P07:08:56.32 0.51.0M
SIVAHL139.2272 S07:09:13.85 0.41.0M
THR6HT176.6331 P07:09:00.65 -0.61.0M
THR6HT176.6331 S07:09:23.44 0.51.0M
CMBOHT187.5333 P07:09:02.74 0.11.0M
CMBOHT187.5333 S07:09:25.16 -0.21.0M
NSR2HA193.6 22 P07:09:02.84 -0.61.0M
NSR2HA193.6 22 S07:09:27.69 0.91.0M
ARGHL212.7 49 P07:09:06.60 0.71.0M
ARGHL212.7 49 S07:09:31.29 0.11.0M
IMMVHL221.2284 P07:09:07.34 0.31.0M
IMMVHL221.2284 S07:09:33.75 0.61.0M
NAX1HI253.0340 P07:09:10.22 -0.81.0M
NAX1HI253.0340 S07:09:40.86 0.81.0M
MIL7HL255.3319 P07:09:11.03 -0.31.0M
MIL7HL255.3319 S07:09:40.94 0.21.0M


  Solution details

Event:
    Public ID              nkua2024uobb
    Description
      region name: Crete, Greece
Origin:
    Date                   2024-10-19
    Time                  07:08:32.70
    Latitude              34.9645 deg  +/-      1 km
    Longitude             26.3392 deg  +/-      1 km
    Depth                       8 km   +/-    1 km
    Agency                 HA
    Author                 A. Karakonstantis
    Mode                   manual
    Status                 confirmed
    Residual RMS             0.49 s
    Azimuthal gap             223 deg

2 Network magnitudes:
    MLv       4.82 +/- 0.14  17            
    M         4.82           17 preferred  

42 Phase arrivals:
    sta  net   dist azi  phase   time          res     wt  sta
    ZKR   HL    0.2 326  P       07:08:36.22  -0.5 M  1.0  ZKR  
    ZKR   HL    0.2 326  S       07:08:39.47  -0.3 M  1.0  ZKR  
    STIA  HC    0.3 319  P       07:08:38.40  -0.7 M  1.0  STIA 
    STIA  HC    0.3 319  S       07:08:43.54  -0.5 M  1.0  STIA 
    AGN1  HI    0.6 294  P       07:08:42.82  -0.8 M  1.0  AGN1 
    AGN1  HI    0.6 294  S       07:08:51.56  -0.3 M  1.0  AGN1 
    KTL1  HI    0.9 287  P       07:08:48.12  -0.8 M  1.0  KTL1 
    KTL1  HI    0.9 287  S       07:09:01.03  -0.1 M  1.0  KTL1 
    KARP  HL    0.9  49  P       07:08:49.25  -0.3 M  1.0  KARP 
    KARP  HL    0.9  49  S       07:09:01.91  -0.4 M  1.0  KARP 
    ARK1  HI    0.9 282  P       07:08:49.78   0.1 M  1.0  ARK1 
    ARK1  HI    0.9 282  S       07:09:02.84   0.1 M  1.0  ARK1 
    TEFL  HC    1.0 278  P       07:08:51.13   0.1 M  1.0  TEFL 
    TEFL  HC    1.0 278  S       07:09:05.19   0.2 M  1.0  TEFL 
    KNSS  HC    1.0 290  P       07:08:51.83   0.2 M  1.0  KNSS 
    KNSS  HC    1.0 290  S       07:09:05.80  -0.2 M  1.0  KNSS 
    HER1  HI    1.1 289  P       07:08:53.05   0.3 M  1.0  HER1 
    HER1  HI    1.1 289  S       07:09:07.75  -0.2 M  1.0  HER1 
    HER3  HI    1.1 290  P       07:08:52.93   0.2 M  1.0  HER3 
    HER3  HI    1.1 290  S       07:09:07.70  -0.2 M  1.0  HER3 
    IACM  HL    1.1 288  P       07:08:53.35   0.3 M  1.0  IACM 
    IACM  HL    1.1 288  S       07:09:08.26  -0.3 M  1.0  IACM 
    GOR1  HI    1.1 275  P       07:08:53.26  -0.5 M  1.0  GOR1 
    GOR1  HI    1.1 275  S       07:09:10.35   0.6 M  1.0  GOR1 
    IDI   MN    1.2 285  P       07:08:55.37  -0.1 M  1.0  IDI  
    IDI   MN    1.2 285  S       07:09:13.47   0.6 M  1.0  IDI  
    SIVA  HL    1.3 272  P       07:08:56.32   0.5 M  1.0  SIVA 
    SIVA  HL    1.3 272  S       07:09:13.85   0.4 M  1.0  SIVA 
    THR6  HT    1.6 331  P       07:09:00.65  -0.6 M  1.0  THR6 
    THR6  HT    1.6 331  S       07:09:23.44   0.5 M  1.0  THR6 
    CMBO  HT    1.7 333  P       07:09:02.74   0.1 M  1.0  CMBO 
    CMBO  HT    1.7 333  S       07:09:25.16  -0.2 M  1.0  CMBO 
    NSR2  HA    1.7  22  P       07:09:02.84  -0.6 M  1.0  NSR2 
    NSR2  HA    1.7  22  S       07:09:27.69   0.9 M  1.0  NSR2 
    ARG   HL    1.9  49  P       07:09:06.60   0.7 M  1.0  ARG  
    ARG   HL    1.9  49  S       07:09:31.29   0.1 M  1.0  ARG  
    IMMV  HL    2.0 284  P       07:09:07.34   0.3 M  1.0  IMMV 
    IMMV  HL    2.0 284  S       07:09:33.75   0.6 M  1.0  IMMV 
    NAX1  HI    2.3 340  P       07:09:10.22  -0.8 M  1.0  NAX1 
    NAX1  HI    2.3 340  S       07:09:40.86   0.8 M  1.0  NAX1 
    MIL7  HL    2.3 319  P       07:09:11.03  -0.3 M  1.0  MIL7 
    MIL7  HL    2.3 319  S       07:09:40.94   0.2 M  1.0  MIL7 

21 Station magnitudes:
    sta  net   dist azi  type   value   res        amp per
    ZKR   HL    0.2 326  MLv     4.89  0.08    1958.41      
    STIA  HC    0.3 319  MLv     4.70 -0.11    541.592      
    AGN1  HI    0.6 294  MLv     4.76 -0.05    142.316      
    KTL1  HI    0.9 287  MLv     4.66 -0.16    76.4398      
    KARP  HL    0.9  49  MLv     2.83 -1.99    1.42171      
    ARK1  HI    0.9 282  MLv     4.90  0.08    125.516      
    TEFL  HC    1.0 278  MLv     4.80 -0.02    91.0318      
    KNSS  HC    1.0 290  MLv     4.48 -0.34    41.7833      
    HER1  HI    1.1 289  MLv     5.34  0.53    281.076      
    HER3  HI    1.1 290  MLv     5.15  0.33    177.821      
    IACM  HL    1.1 288  MLv     4.85  0.03    194.483      
    GOR1  HI    1.1 275  MLv     4.85  0.04     84.103      
    IDI   MN    1.2 285  MLv     4.51 -0.31    33.3558      
    SIVA  HL    1.3 272  MLv     4.71 -0.10    52.3253      
    THR6  HT    1.6 331  MLv     4.89  0.08    90.8706      
    CMBO  HT    1.7 333  MLv     5.00  0.18    57.8199      
    NSR2  HA    1.7  22  MLv     5.33  0.51    114.258      
    ARG   HL    1.9  49  MLv     5.06  0.24    49.2857      
    IMMV  HL    2.0 284  MLv     4.77 -0.04    23.3331      
    NAX1  HI    2.3 340  MLv     4.63 -0.19    11.5863      
    MIL7  HL    2.3 319  MLv     4.75 -0.06    15.0962