Earthquake Information
 Origin Time
2022-08-31 09:56:40 (GMT)
 Magnitude
M 4.7
 Latitude
37.6098° N
 Longitude
26.8042° E
 Focal Depth
13 km
 # of Arrivals
74
 Location 22.4 km SW of Samos
56.2 km E of Ikaria
273.0 km E of Athens
 Solution type
manual
 Files / Links
QuakeML  GSE2.0  Alert  .phi  ShakeMap  
  

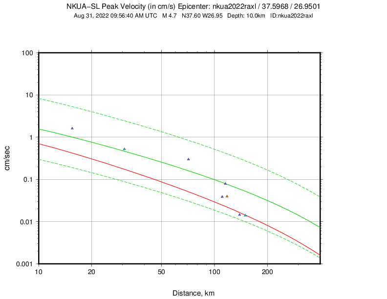
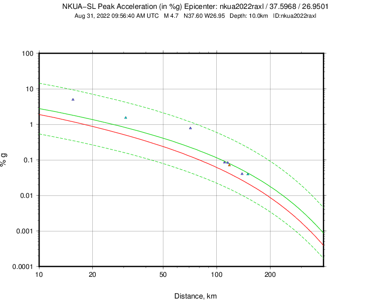
  Intensity map


PGA
PGV
MI

Download files: Google Earth (.kmz), Measurements (.csv)


  Station data

StationNetDist.(km)Azim.PhaseArr.TimeRes.Wgt.Type
SMGHL10.9 16 P09:56:42.87 -0.21.0M
SMGHL10.9 16 S09:56:45.44 0.11.0M
KRL1HI22.3337 P09:56:45.07 0.51.0M
KRL1HI22.3337 S09:56:48.71 0.71.0M
KLNAHL74.1168 P09:56:52.20 -0.51.0M
KLNAHL74.1168 S09:57:01.89 -0.51.0M
CHOSHT108.7322 P09:56:59.23 1.01.0M
CHOSHT108.7322 S09:57:13.09 1.01.0M
NISRHL114.8165 P09:56:59.58 0.51.0M
NISRHL114.8165 S09:57:13.48 0.01.0M
NISR2HL119.8164 P09:57:00.60 0.81.0M
NISR2HL119.8164 S09:57:15.36 0.41.0M
APEHL128.0242 P09:57:01.21 0.01.0M
APEHL128.0242 S09:57:17.82 0.51.0M
NAX1HI138.5246 P09:57:02.55 -0.21.0M
NAX1HI138.5246 S09:57:20.79 0.81.0M
TNSAHL144.8267 P09:57:03.91 0.21.0M
TNSAHL144.8267 S09:57:22.65 0.91.0M
CMBOHT177.3225 P09:57:07.80 -0.41.0M
CMBOHT177.3225 S09:57:29.97 0.41.0M
SAP3HL183.9225 P09:57:09.55 0.51.0M
KARYHA213.2283 P09:57:12.86 0.01.0M
KARYHA213.2283 S09:57:37.96 0.11.0M
MHLOHL236.2244 P09:57:15.10 -0.71.0M
MHLOHL236.2244 S09:57:42.86 -0.11.0M
MRTHHA257.7283 P09:57:18.72 0.21.0M
MRTHHA257.7283 S09:57:47.12 -0.71.0M
EFSAHL266.4324 P09:57:19.66 0.11.0M
EFSAHL266.4324 S09:57:50.23 0.61.0M
ATHUHA268.3278 P09:57:19.87 -0.11.0M
ATHUHA268.3278 S09:57:50.39 0.11.0M
NOACHL274.2278 P09:57:20.94 0.31.0M
NOACHL274.2278 S09:57:50.57 -1.01.0M
STIAHC275.2193 P09:57:20.53 -0.11.0M
ZKRHL282.4191 P09:57:21.03 -0.61.0M
LIAHL290.7331 P09:57:22.66 0.01.0M
LIAHL290.7331 S09:57:54.63 -0.51.0M
MDRAHA297.4280 P09:57:23.79 0.11.0M
KSTEHL300.4206 P09:57:23.12 -0.81.0M
KSTEHL300.4206 S09:57:56.81 -0.61.0M
MRKAHA306.5293 P09:57:24.93 0.11.0M
MRKAHA306.5293 S09:57:58.77 -0.21.0M
PFKSHC309.3203 P09:57:24.44 -0.71.0M
PFKSHC309.3203 S09:57:58.80 -0.71.0M
AOS2HT309.6303 P09:57:25.32 0.11.0M
AOS2HT309.6303 S09:57:59.44 -0.11.0M
IDIMN309.8214 P09:57:24.14 -1.11.0M
IDIMN309.8214 S09:57:59.11 -0.51.0M
VILLHA312.6281 P09:57:25.70 0.01.0M
VILLHA312.6281 S09:58:00.18 -0.21.0M
EPIDHA324.6270 P09:57:27.11 -0.11.0M
EPIDHA324.6270 S09:58:03.25 0.11.0M
SMTHHL336.6341 P09:57:27.96 -0.61.0M
SMTHHL336.6341 S09:58:05.67 0.21.0M
LOUTHA339.1277 P09:57:29.09 0.01.0M
LOUTHA339.1277 S09:58:06.25 -0.11.0M
LTKHP340.1278 P09:57:29.05 -0.11.0M
LTKHP340.1278 S09:58:06.49 -0.11.0M
ATALHA352.0290 P09:57:30.87 0.21.0M
ATALHA352.0290 S09:58:08.18 -1.01.0M
LKRHL352.3289 P09:57:30.74 0.01.0M
LKRHL352.3289 S09:58:08.99 -0.31.0M
RODPHC354.8230 P09:57:30.21 -0.81.0M
RODPHC354.8230 S09:58:09.22 -0.51.0M
NEOHL364.5301 P09:57:32.34 0.11.0M
KTHAHL365.0246 P09:57:31.68 -0.71.0M
KTHAHL365.0246 S09:58:11.63 -0.51.0M
ANKYHL367.4238 P09:57:31.67 -0.91.0M
KTHRHC371.1246 P09:57:32.67 -0.51.0M
KTHRHC371.1246 S09:58:13.93 0.41.0M
PAIGHT374.7314 P09:57:33.52 0.01.0M
PAIGHT374.7314 S09:58:14.12 -0.11.0M
THASHT378.6332 P09:57:33.33 -0.61.0M
THASHT378.6332 S09:58:15.11 0.21.0M


  Solution details

Event:
    Public ID              nkua2022raxl
    Description
      region name: Dodecanese Islands, Greece
Origin:
    Date                   2022-08-31
    Time                  09:56:39.99
    Latitude              37.6098 deg  +/-      1 km
    Longitude             26.8042 deg  +/-      1 km
    Depth                      13 km   +/-    1 km
    Agency                 HA
    Author                 A. Karakonstantis
    Mode                   manual
    Status                 confirmed
    Residual RMS             0.42 s
    Azimuthal gap             148 deg

2 Network magnitudes:
    MLv       4.71 +/- 0.15  26            
    M         4.71           26 preferred  

74 Phase arrivals:
    sta  net   dist azi  phase   time          res     wt  sta
    SMG   HL    0.1  16  P       09:56:42.87  -0.2 M  1.0  SMG  
    SMG   HL    0.1  16  S       09:56:45.44   0.1 M  1.0  SMG  
    KRL1  HI    0.2 337  P       09:56:45.07   0.5 M  1.0  KRL1 
    KRL1  HI    0.2 337  S       09:56:48.71   0.7 M  1.0  KRL1 
    KLNA  HL    0.7 168  P       09:56:52.20  -0.5 M  1.0  KLNA 
    KLNA  HL    0.7 168  S       09:57:01.89  -0.5 M  1.0  KLNA 
    CHOS  HT    1.0 322  P       09:56:59.23   1.0 M  1.0  CHOS 
    CHOS  HT    1.0 322  S       09:57:13.09   1.0 M  1.0  CHOS 
    NISR  HL    1.0 165  P       09:56:59.58   0.5 M  1.0  NISR 
    NISR  HL    1.0 165  S       09:57:13.48  -0.0 M  1.0  NISR 
    NISR2 HL    1.1 164  P       09:57:00.60   0.8 M  1.0  NISR2
    NISR2 HL    1.1 164  S       09:57:15.36   0.4 M  1.0  NISR2
    APE   HL    1.2 242  P       09:57:01.21   0.0 M  1.0  APE  
    APE   HL    1.2 242  S       09:57:17.82   0.5 M  1.0  APE  
    NAX1  HI    1.2 246  P       09:57:02.55  -0.2 M  1.0  NAX1 
    NAX1  HI    1.2 246  S       09:57:20.79   0.8 M  1.0  NAX1 
    TNSA  HL    1.3 267  P       09:57:03.91   0.2 M  1.0  TNSA 
    TNSA  HL    1.3 267  S       09:57:22.65   0.9 M  1.0  TNSA 
    CMBO  HT    1.6 225  P       09:57:07.80  -0.4 M  1.0  CMBO 
    CMBO  HT    1.6 225  S       09:57:29.97   0.4 M  1.0  CMBO 
    SAP3  HL    1.7 225  P       09:57:09.55   0.5 M  1.0  SAP3 
    KARY  HA    1.9 283  P       09:57:12.86   0.0 M  1.0  KARY 
    KARY  HA    1.9 283  S       09:57:37.96   0.1 M  1.0  KARY 
    MHLO  HL    2.1 244  P       09:57:15.10  -0.7 M  1.0  MHLO 
    MHLO  HL    2.1 244  S       09:57:42.86  -0.1 M  1.0  MHLO 
    MRTH  HA    2.3 283  P       09:57:18.72   0.2 M  1.0  MRTH 
    MRTH  HA    2.3 283  S       09:57:47.12  -0.7 M  1.0  MRTH 
    EFSA  HL    2.4 324  P       09:57:19.66   0.1 M  1.0  EFSA 
    EFSA  HL    2.4 324  S       09:57:50.23   0.6 M  1.0  EFSA 
    ATHU  HA    2.4 278  P       09:57:19.87  -0.1 M  1.0  ATHU 
    ATHU  HA    2.4 278  S       09:57:50.39   0.1 M  1.0  ATHU 
    STIA  HC    2.5 193  P       09:57:20.53  -0.1 M  1.0  STIA 
    NOAC  HL    2.5 278  P       09:57:20.94   0.3 M  1.0  NOAC 
    NOAC  HL    2.5 278  S       09:57:50.57  -1.0 M  1.0  NOAC 
    ZKR   HL    2.5 191  P       09:57:21.03  -0.6 M  1.0  ZKR  
    LIA   HL    2.6 331  P       09:57:22.66  -0.0 M  1.0  LIA  
    LIA   HL    2.6 331  S       09:57:54.63  -0.5 M  1.0  LIA  
    MDRA  HA    2.7 280  P       09:57:23.79   0.1 M  1.0  MDRA 
    KSTE  HL    2.7 206  P       09:57:23.12  -0.8 M  1.0  KSTE 
    KSTE  HL    2.7 206  S       09:57:56.81  -0.6 M  1.0  KSTE 
    MRKA  HA    2.8 293  P       09:57:24.93   0.1 M  1.0  MRKA 
    MRKA  HA    2.8 293  S       09:57:58.77  -0.2 M  1.0  MRKA 
    PFKS  HC    2.8 203  P       09:57:24.44  -0.7 M  1.0  PFKS 
    PFKS  HC    2.8 203  S       09:57:58.80  -0.7 M  1.0  PFKS 
    IDI   MN    2.8 214  P       09:57:24.14  -1.1 M  1.0  IDI  
    IDI   MN    2.8 214  S       09:57:59.11  -0.5 M  1.0  IDI  
    AOS2  HT    2.8 303  P       09:57:25.32   0.1 M  1.0  AOS2 
    AOS2  HT    2.8 303  S       09:57:59.44  -0.1 M  1.0  AOS2 
    VILL  HA    2.8 281  P       09:57:25.70   0.0 M  1.0  VILL 
    VILL  HA    2.8 281  S       09:58:00.18  -0.2 M  1.0  VILL 
    EPID  HA    2.9 270  P       09:57:27.11  -0.1 M  1.0  EPID 
    EPID  HA    2.9 270  S       09:58:03.25   0.1 M  1.0  EPID 
    SMTH  HL    3.0 341  P       09:57:27.96  -0.6 M  1.0  SMTH 
    SMTH  HL    3.0 341  S       09:58:05.67   0.2 M  1.0  SMTH 
    LOUT  HA    3.1 277  P       09:57:29.09   0.0 M  1.0  LOUT 
    LOUT  HA    3.1 277  S       09:58:06.25  -0.1 M  1.0  LOUT 
    LTK   HP    3.1 278  P       09:57:29.05  -0.1 M  1.0  LTK  
    LTK   HP    3.1 278  S       09:58:06.49  -0.1 M  1.0  LTK  
    ATAL  HA    3.2 290  P       09:57:30.87   0.2 M  1.0  ATAL 
    ATAL  HA    3.2 290  S       09:58:08.18  -1.0 M  1.0  ATAL 
    LKR   HL    3.2 289  P       09:57:30.74   0.0 M  1.0  LKR  
    LKR   HL    3.2 289  S       09:58:08.99  -0.3 M  1.0  LKR  
    RODP  HC    3.2 230  P       09:57:30.21  -0.8 M  1.0  RODP 
    RODP  HC    3.2 230  S       09:58:09.22  -0.5 M  1.0  RODP 
    NEO   HL    3.3 301  P       09:57:32.34   0.1 M  1.0  NEO  
    KTHA  HL    3.3 246  P       09:57:31.68  -0.7 M  1.0  KTHA 
    KTHA  HL    3.3 246  S       09:58:11.63  -0.5 M  1.0  KTHA 
    ANKY  HL    3.3 238  P       09:57:31.67  -0.9 M  1.0  ANKY 
    KTHR  HC    3.3 246  P       09:57:32.67  -0.5 M  1.0  KTHR 
    KTHR  HC    3.3 246  S       09:58:13.93   0.4 M  1.0  KTHR 
    PAIG  HT    3.4 314  P       09:57:33.52   0.0 M  1.0  PAIG 
    PAIG  HT    3.4 314  S       09:58:14.12  -0.1 M  1.0  PAIG 
    THAS  HT    3.4 332  P       09:57:33.33  -0.6 M  1.0  THAS 
    THAS  HT    3.4 332  S       09:58:15.11   0.2 M  1.0  THAS 

40 Station magnitudes:
    sta  net   dist azi  type   value   res        amp per
    SMG   HL    0.1  16  MLv     4.68 -0.03    2035.93      
    KRL1  HI    0.2 337  MLv     4.39 -0.32    539.164      
    KLNA  HL    0.7 168  MLv     5.46  0.74    612.124      
    CHOS  HT    1.0 322  MLv     4.69 -0.02    70.3546      
    NISR  HL    1.0 165  MLv     4.63 -0.09    56.7215      
    NISR2 HL    1.1 164  MLv     4.76  0.04    72.4107      
    APE   HL    1.2 242  MLv     4.61 -0.11    46.4881      
    NAX1  HI    1.2 246  MLv     4.59 -0.12     39.583      
    TNSA  HL    1.3 267  MLv     4.38 -0.33    22.6976      
    CMBO  HT    1.6 225  MLv     5.30  0.59    130.573      
    SAP3  HL    1.7 225  MLv     5.04  0.33    110.284      
    KARY  HA    1.9 283  MLv     4.38 -0.33    10.4225      
    MHLO  HL    2.1 244  MLv     4.74  0.02    36.8939      
    MRTH  HA    2.3 283  MLv     4.36 -0.36    5.86178      
    EFSA  HL    2.4 324  MLv     4.52 -0.20    7.70203      
    ATHU  HA    2.4 278  MLv     4.62 -0.10    5.81721      
    STIA  HC    2.5 193  MLv     4.85  0.13    14.8197      
    NOAC  HL    2.5 278  MLv     4.65 -0.06    9.62789      
    ZKR   HL    2.5 191  MLv     5.03  0.31    20.6841      
    LIA   HL    2.6 331  MLv     4.15 -0.56    5.00732      
    MDRA  HA    2.7 280  MLv     4.29 -0.42    3.19024      
    KSTE  HL    2.7 206  MLv     4.87  0.16    11.7411      
    MRKA  HA    2.8 293  MLv     4.36 -0.35    3.40263      
    PFKS  HC    2.8 203  MLv     4.74  0.02    7.79066      
    IDI   MN    2.8 214  MLv     4.67 -0.04    6.66449      
    AOS2  HT    2.8 303  MLv     4.19 -0.52    2.20663      
    VILL  HA    2.8 281  MLv     4.74  0.02    7.53073      
    EPID  HA    2.9 270  MLv     4.61 -0.11    4.82207      
    SMTH  HL    3.0 341  MLv     4.60 -0.12    2.65629      
    LOUT  HA    3.1 277  MLv     4.66 -0.05    4.65919      
    LTK   HP    3.1 278  MLv     4.15 -0.57    5.34287      
    ATAL  HA    3.2 290  MLv     3.92 -0.80   0.720771      
    LKR   HL    3.2 289  MLv     4.77  0.06    2.77863      
    RODP  HC    3.2 230  MLv     4.92  0.21     7.0839      
    NEO   HL    3.3 301  MLv     4.25 -0.46    1.86692      
    KTHA  HL    3.3 246  MLv     4.62 -0.09    3.16494      
    ANKY  HL    3.3 238  MLv     4.79  0.08    4.53277      
    KTHR  HC    3.3 246  MLv     4.79  0.07    4.30913      
    PAIG  HT    3.4 314  MLv     4.08 -0.63   0.620444      
    THAS  HT    3.4 332  MLv     4.34 -0.37    1.42073