Πληροφορίες Σεισμού
 Χρόνος Γένεσης
2025-02-05 21:05:00 (GMT)
 Μέγεθος
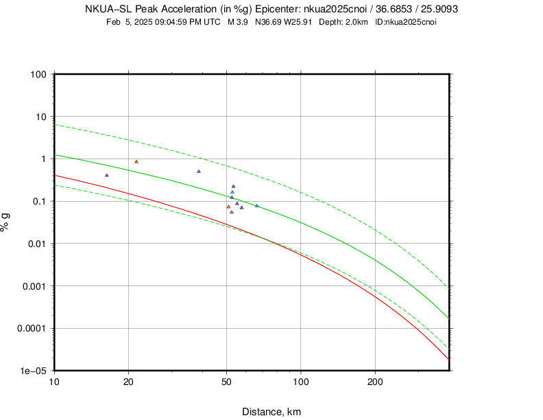
M 3.9
 Γεωγρ. Πλάτος
36.6853° Β
 Γεωγρ. Μήκος
25.9093° Α
 Εστιακό Βάθος
2 χμ
 Αρ. αφίξεων
47
 Επίκεντρο 52.0 χμ ΒΑ της Θήρας
66.6 χμ ΝΑ της Νάξου
240.5 χμ ΝΑ της Αθήνας
 Τύπος Λύσης
Αυτόματη
 Αρχεία / Σύνδεσμοι
QuakeML  GSE2.0  Alert  .phi  ShakeMap  
  

  Χάρτης εντάσεως


PGA
PGV
MI

Αρχεία: Google Earth (.kmz), Measurements (.csv)


  Δεδομένα σταθμών

StationNetDist.(km)Azim.PhaseArr.TimeRes.Wgt.Type
ANYDHT21.5253 P21:05:03.17 -0.71.0A
ANAFHL38.5199 P21:05:07.55 0.81.0A
CMBOHT50.9242 P21:05:08.33 -0.51.0A
SNT1HA52.4235 P21:05:08.12 -1.01.0A
THERAHL52.5228 P21:05:08.27 -0.81.0A
SANTHL53.3229 P21:05:08.44 -0.81.0A
APEHL55.1322 P21:05:08.99 -0.51.0A
SAP3HL57.5241 P21:05:08.94 -1.01.0A
NPSHL160.6190 P21:05:25.79 -0.31.0A
KNSSHC167.0203 P21:05:26.81 -0.21.0A
NOACHL241.0307 P21:05:39.87 3.01.0A
ATHHL241.0307 P21:05:39.16 2.31.0A
KNDRHC261.3233 P21:05:41.50 2.11.0A
SIGRHT280.9359 P21:05:41.17 -0.51.0A
PRKHL286.4 6 P21:05:42.80 0.41.0A
GR311Y303.9278 P21:05:46.28 1.61.0A
LKRHL336.6311 P21:05:48.08 -0.61.0A
GURHP344.7295 P21:05:48.33 -1.41.0A
DSFHP354.6304 P21:05:49.55 -1.41.0A
ITMHL358.3280 P21:05:52.93 1.51.0A
KLVHL364.9296 P21:05:51.25 -1.01.0A
ACHLHT365.8316 P21:05:51.98 -0.31.0A
AXARHA367.7310 P21:05:52.52 0.01.0A
PYLHP371.8275 P21:05:54.34 1.21.0A
AIOACL379.0297 P21:05:53.81 -0.21.0A
AMTHP384.2285 P21:05:55.92 1.31.0A
TRIZCL386.4300 P21:05:53.97 -0.91.0A
LAKAHA387.6298 P21:05:54.46 -0.61.0A
GR241Y395.5305 P21:05:54.99 -1.01.0A
DROHP397.0292 P21:05:56.91 0.71.0A
ROD3CL397.6298 P21:05:56.35 0.11.0A
EFPHP402.5300 P21:05:56.39 -0.51.0A
VVKHP409.6299 P21:05:57.83 0.11.0A
ANXHP410.2302 P21:05:57.09 -0.71.0A
PAIGHT410.6332 P21:05:56.82 -1.01.0A
GR181Y441.1321 P21:06:00.97 -0.61.0A
PVOHP441.6300 P21:06:03.56 1.81.0A
THASHT448.1347 P21:06:01.43 -0.91.0A
NESNHT448.3320 P21:06:02.55 0.11.0A
TYRNHT465.1317 P21:06:04.56 0.01.0A
THLHL467.4314 P21:06:04.36 -0.51.0A
GR171Y504.5314 P21:06:10.51 1.11.0A


  Λεπτομέρειες λύσης

Event:
    Public ID              nkua2025cnoi
    Description
      region name: Dodecanese Islands, Greece
Origin:
    Date                   2025-02-05
    Time                  21:04:59.81  +/-    0.5 s
    Latitude              36.6853 deg  +/-      2 km
    Longitude             25.9093 deg  +/-      4 km
    Depth                       2 km
    Agency                 HA
    Mode                   automatic
    Status                 NOT SET
    Residual RMS             1.07 s
    Azimuthal gap             184 deg

2 Network magnitudes:
    MLv       3.91 +/- 0.15  10            
    M         3.91           10 preferred  

47 Phase arrivals:
    sta  net   dist azi  phase   time          res     wt  sta
    ANYD  HT    0.2 253  P       21:05:03.17  -0.7 A  1.0  ANYD 
    ANAF  HL    0.3 199  P       21:05:07.55   0.8 A  1.0  ANAF 
    CMBO  HT    0.5 242  P       21:05:08.33  -0.5 A  1.0  CMBO 
    SNT1  HA    0.5 235  P       21:05:08.12  -1.0 A  1.0  SNT1 
    THERA HL    0.5 228  P       21:05:08.27  -0.8 A  1.0  THERA
    SANT  HL    0.5 229  P       21:05:08.44  -0.8 A  1.0  SANT 
    APE   HL    0.5 322  P       21:05:08.99  -0.5 A  1.0  APE  
    SAP3  HL    0.5 241  P       21:05:08.94  -1.0 A  1.0  SAP3 
    NPS   HL    1.4 190  P       21:05:25.79  -0.3 A  1.0  NPS  
    KNSS  HC    1.5 203  P       21:05:26.81  -0.2 A  1.0  KNSS 
    ATH   HL    2.2 307  P       21:05:39.16   2.3 A  1.0  ATH  
    NOAC  HL    2.2 307  P       21:05:39.87   3.0 A  1.0  NOAC 
    KNDR  HC    2.4 233  P       21:05:41.50   2.1 A  1.0  KNDR 
    SIGR  HT    2.5 359  P       21:05:41.17  -0.5 A  1.0  SIGR 
    PRK   HL    2.6   6  P       21:05:42.80   0.4 A  1.0  PRK  
    GR31  1Y    2.7 278  P       21:05:46.28   1.6 A  1.0  GR31 
    LKR   HL    3.0 311  P       21:05:48.08  -0.6 A  1.0  LKR  
    GUR   HP    3.1 295  P       21:05:48.33  -1.4 A  1.0  GUR  
    DSF   HP    3.2 304  P       21:05:49.55  -1.4 A  1.0  DSF  
    ITM   HL    3.2 280  P       21:05:52.93   1.5 A  1.0  ITM  
    KLV   HL    3.3 296  P       21:05:51.25  -1.0 A  1.0  KLV  
    ACHL  HT    3.3 316  P       21:05:51.98  -0.3 A  1.0  ACHL 
    AXAR  HA    3.3 310  P       21:05:52.52  -0.0 A  1.0  AXAR 
    PYL   HP    3.3 275  P       21:05:54.34   1.2 A  1.0  PYL  
    AIOA  CL    3.4 297  P       21:05:53.81  -0.2 A  1.0  AIOA 
    AMT   HP    3.5 285  P       21:05:55.92   1.3 A  1.0  AMT  
    TRIZ  CL    3.5 300  P       21:05:53.97  -0.9 A  1.0  TRIZ 
    LAKA  HA    3.5 298  P       21:05:54.46  -0.6 A  1.0  LAKA 
    GR24  1Y    3.6 305  P       21:05:54.99  -1.0 A  1.0  GR24 
    DRO   HP    3.6 292  P       21:05:56.91   0.7 A  1.0  DRO  
    ROD3  CL    3.6 298  P       21:05:56.35   0.1 A  1.0  ROD3 
    EFP   HP    3.6 300  P       21:05:56.39  -0.5 A  1.0  EFP  
    VVK   HP    3.7 299  P       21:05:57.83   0.1 A  1.0  VVK  
    ANX   HP    3.7 302  P       21:05:57.09  -0.7 A  1.0  ANX  
    PAIG  HT    3.7 332  P       21:05:56.82  -1.0 A  1.0  PAIG 
    PLEV  HP    4.0 297  P       21:06:04.71   3.1 AX 0.0  PLEV 
    GR18  1Y    4.0 321  P       21:06:00.97  -0.6 A  1.0  GR18 
    PVO   HP    4.0 300  P       21:06:03.56   1.8 A  1.0  PVO  
    THAS  HT    4.0 347  P       21:06:01.43  -0.9 A  1.0  THAS 
    NESN  HT    4.0 320  P       21:06:02.55   0.1 A  1.0  NESN 
    TYRN  HT    4.2 317  P       21:06:04.56  -0.0 A  1.0  TYRN 
    THL   HL    4.2 314  P       21:06:04.36  -0.5 A  1.0  THL  
    TETR  HL    4.5 307  P       21:06:12.25   3.1 AX 0.0  TETR 
    GR17  1Y    4.5 314  P       21:06:10.51   1.1 A  1.0  GR17 
    GR10  1Y    5.1 320  P       21:06:17.45   0.6 AX 0.0  GR10 
    PENT  HL    5.1 315  P       21:06:17.88   0.3 AX 0.0  PENT 
    NEST  HT    5.3 316  P       21:06:21.61   1.4 AX 0.0  NEST 

12 Station magnitudes:
    sta  net   dist azi  type   value   res        amp per
    ANYD  HT    0.2 253  MLv     4.13  0.21    307.694      
    ANAF  HL    0.3 199  MLv     4.33  0.41    184.112      
    CMBO  HT    0.5 242  MLv     3.88 -0.03    32.3533      
    SNT1  HA    0.5 235  MLv     3.94  0.03    23.0338      
    THERA HL    0.5 228  MLv     3.90 -0.02    30.6064      
    SANT  HL    0.5 229  MLv     4.21  0.30    45.8137      
    APE   HL    0.5 322  MLv     3.50 -0.41    10.6531      
    SAP3  HL    0.5 241  MLv     3.78 -0.14    28.8712      
    NPS   HL    1.4 190  MLv     3.68 -0.23    3.79767      
    KNSS  HC    1.5 203  MLv     3.74 -0.18    3.99593      
    ATH   HL    2.2 307  MLv     3.96  0.05     2.8676      
    NOAC  HL    2.2 307  MLv     3.96  0.05     2.8643