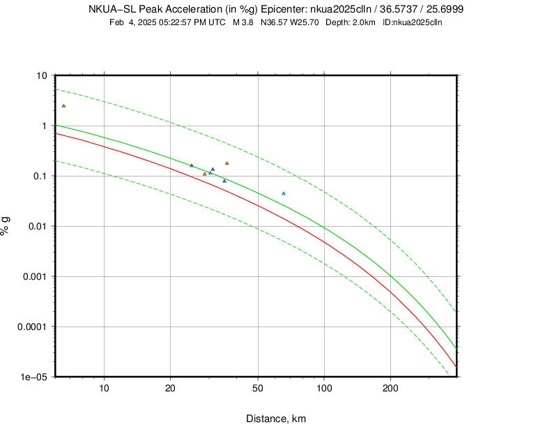
Πληροφορίες Σεισμού
 Χρόνος Γένεσης
2025-02-04 17:22:58 (GMT)
 Μέγεθος
M 3.8
 Γεωγρ. Πλάτος
36.5753° Β
 Γεωγρ. Μήκος
25.7109° Α
 Εστιακό Βάθος
2 χμ
 Αρ. αφίξεων
85
 Επίκεντρο 30.4 χμ ΒΑ της Θήρας
66.1 χμ ΝΝΑ της Νάξου
234.8 χμ ΝΑ της Αθήνας
 Τύπος Λύσης
Αυτόματη
 Αρχεία / Σύνδεσμοι
QuakeML  GSE2.0  Alert  .phi  ShakeMap  
  

  Χάρτης εντάσεως


PGA
PGV
MI

Αρχεία: Google Earth (.kmz), Measurements (.csv)


  Δεδομένα σταθμών

StationNetDist.(km)Azim.PhaseArr.TimeRes.Wgt.Type
CMBOHT29.6247 P17:23:05.09 1.71.0A
SNT1HA30.9235 P17:22:57.20 -6.41.0A
THERAHL31.3222 P17:22:57.39 -6.31.0A
SANTHL32.0225 P17:23:05.13 1.41.0A
SAP3HL36.2245 P17:23:05.45 1.01.0A
AKROHT37.0229 P17:23:06.08 1.51.0A
APEHL57.8343 P17:23:01.44 -6.61.0A
NAX1HI65.7333 P17:23:08.72 -0.71.0A
MIL7HL109.1278 P17:23:17.05 0.31.0A
MHLOHL117.5277 P17:23:18.75 0.71.0A
TNSAHL117.7336 P17:23:17.53 -0.51.0A
NISRHL126.8 88 P17:23:20.96 1.51.0A
NSR2HA128.9 90 P17:23:20.16 0.41.0A
NISR2HL130.9 90 P17:23:21.49 1.51.0A
NPSHL146.4184 P17:23:22.05 -0.11.0A
KNSSHC149.2199 P17:23:22.41 -0.21.0A
SMGHL160.4 38 P17:23:23.24 -1.01.0A
IDIMN161.1208 P17:23:23.67 -0.61.0A
KRL1HI161.8 33 P17:23:26.55 2.21.0A
ZKRHL168.7164 P17:23:25.59 0.31.0A
PFKSHC171.7187 P17:23:25.32 -0.41.0A
SIVAHL191.2205 P17:23:29.08 0.61.0A
KARYHA197.3326 P17:23:28.61 -0.71.0A
IMMVHL198.9232 P17:23:29.34 -0.21.0A
ARGHL219.5100 P17:23:31.95 -0.41.0A
VLYHL221.3310 P17:23:31.23 -1.31.0A
ATHUHA230.2313 P17:23:32.50 -1.11.0A
MRTHHA232.5318 P17:23:33.41 -0.51.0A
ATHHL235.1312 P17:23:36.13 1.91.0A
KTHAHL239.6262 P17:23:34.82 0.01.0A
ALIOHA244.8313 P17:23:35.17 -0.31.0A
GR321Y246.4281 P17:23:36.49 0.81.0A
VLIHL247.1275 P17:23:35.06 -0.71.0A
EPIDHA257.3297 P17:23:37.09 0.11.0A
MDRAHA258.2310 P17:23:36.41 -0.71.0A
ERTRHA265.1321 P17:23:36.96 -1.01.0A
VILLHA275.9311 P17:23:38.67 -0.61.0A
THIVHA284.3313 P17:23:40.67 0.31.0A
PSAHHA286.8321 P17:23:39.73 -0.91.0A
GR261Y287.0316 P17:23:40.24 -0.41.0A
GR311Y288.5281 P17:23:42.61 1.71.0A
AMPEHA288.7312 P17:23:43.14 2.31.0A
ACORHA291.0301 P17:23:41.87 0.71.0A
LTKHP291.2304 P17:23:41.16 0.01.0A
GR301Y297.3292 P17:23:43.52 1.51.0A
MRKAHA301.7322 P17:23:42.19 -0.31.0A
GR331Y301.9275 P17:23:43.24 0.71.0A
LES3HT306.1 8 P17:23:41.52 -1.41.0A
VLXHP308.9288 P17:23:45.68 2.31.0A
PRDMHA316.0308 P17:23:44.31 0.01.0A
AOS2HT329.7331 P17:23:45.81 -0.11.0A
LKRHL332.0315 P17:23:45.88 -0.31.0A
GURHP334.3298 P17:23:46.38 -0.21.0A
DSFHP347.2307 P17:23:47.56 -0.61.0A
KLVHL354.7298 P17:23:49.26 0.21.0A
PYLHP355.4277 P17:23:50.73 1.51.0A
AXARHA362.6313 P17:23:50.94 0.91.0A
ACHLHT362.9319 P17:23:51.52 1.51.0A
AIOACL369.4300 P17:23:51.91 1.01.0A
GR221Y377.2319 P17:23:52.50 0.71.0A
TRIZCL377.7303 P17:23:52.11 0.21.0A
LAKAHA378.0300 P17:23:52.46 0.51.0A
PYRGCL384.5303 P17:23:53.98 1.21.0A
DROHP385.6295 P17:23:55.00 2.11.0A
GR241Y388.7308 P17:23:52.99 -0.31.0A
EFPHP393.7303 P17:23:54.44 0.51.0A
ANXHP402.3305 P17:23:55.11 0.21.0A
PAIGHT413.8335 P17:23:55.17 -1.11.0A
GR181Y440.0324 P17:23:59.75 0.21.0A
OURHT444.2341 P17:23:59.23 -0.81.0A
GR201Y456.5312 P17:24:02.86 1.21.0A
THLHL463.8317 P17:24:02.66 0.11.0A
GR051Y477.5359 P17:24:02.99 -1.11.0A
KOKKHT494.5343 P17:24:06.13 -0.11.0A
GR171Y500.5316 P17:24:08.29 1.21.0A
HORTHT501.5334 P17:24:07.03 -0.11.0A
RDOHL508.4358 P17:24:07.23 -0.71.0A
SRSHT536.6341 P17:24:11.01 -0.41.0A
PRASHL540.6350 P17:24:12.22 0.31.0A


  Λεπτομέρειες λύσης

Event:
    Public ID              nkua2025clln
    Description
      region name: Dodecanese Islands, Greece
Origin:
    Date                   2025-02-04
    Time                  17:22:57.93  +/-    0.2 s
    Latitude              36.5753 deg  +/-      1 km
    Longitude             25.7109 deg  +/-      2 km
    Depth                       2 km
    Agency                 HA
    Mode                   automatic
    Status                 NOT SET
    Residual RMS             1.57 s
    Azimuthal gap              64 deg

2 Network magnitudes:
    MLv       3.82 +/- 0.13  61            
    M         3.82           61 preferred  

85 Phase arrivals:
    sta  net   dist azi  phase   time          res     wt  sta
    CMBO  HT    0.3 247  P       17:23:05.09   1.7 A  1.0  CMBO 
    SNT1  HA    0.3 235  P       17:22:57.20  -6.4 A  1.0  SNT1 
    THERA HL    0.3 222  P       17:22:57.39  -6.3 A  1.0  THERA
    SANT  HL    0.3 225  P       17:23:05.13   1.4 A  1.0  SANT 
    SAP3  HL    0.3 245  P       17:23:05.45   1.0 A  1.0  SAP3 
    AKRO  HT    0.3 229  P       17:23:06.08   1.5 A  1.0  AKRO 
    APE   HL    0.5 343  P       17:23:01.44  -6.6 A  1.0  APE  
    NAX1  HI    0.6 333  P       17:23:08.72  -0.7 A  1.0  NAX1 
    MIL7  HL    1.0 278  P       17:23:17.05   0.3 A  1.0  MIL7 
    MHLO  HL    1.1 277  P       17:23:18.75   0.7 A  1.0  MHLO 
    TNSA  HL    1.1 336  P       17:23:17.53  -0.5 A  1.0  TNSA 
    NISR  HL    1.1  88  P       17:23:20.96   1.5 A  1.0  NISR 
    NSR2  HA    1.2  90  P       17:23:20.16   0.4 A  1.0  NSR2 
    NISR2 HL    1.2  90  P       17:23:21.49   1.5 A  1.0  NISR2
    NPS   HL    1.3 184  P       17:23:22.05  -0.1 A  1.0  NPS  
    KNSS  HC    1.3 199  P       17:23:22.41  -0.2 A  1.0  KNSS 
    SMG   HL    1.4  38  P       17:23:23.24  -1.0 A  1.0  SMG  
    IDI   MN    1.4 208  P       17:23:23.67  -0.6 A  1.0  IDI  
    KRL1  HI    1.5  33  P       17:23:26.55   2.2 A  1.0  KRL1 
    ZKR   HL    1.5 164  P       17:23:25.59   0.3 A  1.0  ZKR  
    PFKS  HC    1.5 187  P       17:23:25.32  -0.4 A  1.0  PFKS 
    SIVA  HL    1.7 205  P       17:23:29.08   0.6 A  1.0  SIVA 
    KARY  HA    1.8 326  P       17:23:28.61  -0.7 A  1.0  KARY 
    IMMV  HL    1.8 232  P       17:23:29.34  -0.2 A  1.0  IMMV 
    ARG   HL    2.0 100  P       17:23:31.95  -0.4 A  1.0  ARG  
    VLY   HL    2.0 310  P       17:23:31.23  -1.3 A  1.0  VLY  
    ATHU  HA    2.1 313  P       17:23:32.50  -1.1 A  1.0  ATHU 
    MRTH  HA    2.1 318  P       17:23:33.41  -0.5 A  1.0  MRTH 
    ATH   HL    2.1 312  P       17:23:36.13   1.9 A  1.0  ATH  
    KTHA  HL    2.2 262  P       17:23:34.82  -0.0 A  1.0  KTHA 
    ALIO  HA    2.2 313  P       17:23:35.17  -0.3 A  1.0  ALIO 
    GR32  1Y    2.2 281  P       17:23:36.49   0.8 A  1.0  GR32 
    VLI   HL    2.2 275  P       17:23:35.06  -0.7 A  1.0  VLI  
    EPID  HA    2.3 297  P       17:23:37.09   0.1 A  1.0  EPID 
    MDRA  HA    2.3 310  P       17:23:36.41  -0.7 A  1.0  MDRA 
    ERTR  HA    2.4 321  P       17:23:36.96  -1.0 A  1.0  ERTR 
    VILL  HA    2.5 311  P       17:23:38.67  -0.6 A  1.0  VILL 
    THIV  HA    2.6 313  P       17:23:40.67   0.3 A  1.0  THIV 
    PSAH  HA    2.6 321  P       17:23:39.73  -0.9 A  1.0  PSAH 
    GR26  1Y    2.6 316  P       17:23:40.24  -0.4 A  1.0  GR26 
    GR31  1Y    2.6 281  P       17:23:42.61   1.7 A  1.0  GR31 
    AMPE  HA    2.6 312  P       17:23:43.14   2.3 A  1.0  AMPE 
    ACOR  HA    2.6 301  P       17:23:41.87   0.7 A  1.0  ACOR 
    LTK   HP    2.6 304  P       17:23:41.16  -0.0 A  1.0  LTK  
    GR30  1Y    2.7 292  P       17:23:43.52   1.5 A  1.0  GR30 
    MRKA  HA    2.7 322  P       17:23:42.19  -0.3 A  1.0  MRKA 
    GR33  1Y    2.7 275  P       17:23:43.24   0.7 A  1.0  GR33 
    LES3  HT    2.8   8  P       17:23:41.52  -1.4 A  1.0  LES3 
    VLX   HP    2.8 288  P       17:23:45.68   2.3 A  1.0  VLX  
    PRDM  HA    2.8 308  P       17:23:44.31   0.0 A  1.0  PRDM 
    AOS2  HT    3.0 331  P       17:23:45.81  -0.1 A  1.0  AOS2 
    LKR   HL    3.0 315  P       17:23:45.88  -0.3 A  1.0  LKR  
    GUR   HP    3.0 298  P       17:23:46.38  -0.2 A  1.0  GUR  
    DSF   HP    3.1 307  P       17:23:47.56  -0.6 A  1.0  DSF  
    KLV   HL    3.2 298  P       17:23:49.26   0.2 A  1.0  KLV  
    PYL   HP    3.2 277  P       17:23:50.73   1.5 A  1.0  PYL  
    AXAR  HA    3.3 313  P       17:23:50.94   0.9 A  1.0  AXAR 
    ACHL  HT    3.3 319  P       17:23:51.52   1.5 A  1.0  ACHL 
    AIOA  CL    3.3 300  P       17:23:51.91   1.0 A  1.0  AIOA 
    AMT   HP    3.3 288  P       17:23:54.13   3.0 AX 0.0  AMT  
    GR22  1Y    3.4 319  P       17:23:52.50   0.7 A  1.0  GR22 
    TRIZ  CL    3.4 303  P       17:23:52.11   0.2 A  1.0  TRIZ 
    LAKA  HA    3.4 300  P       17:23:52.46   0.5 A  1.0  LAKA 
    PYRG  CL    3.5 303  P       17:23:53.98   1.2 A  1.0  PYRG 
    DRO   HP    3.5 295  P       17:23:55.00   2.1 A  1.0  DRO  
    GR24  1Y    3.5 308  P       17:23:52.99  -0.3 A  1.0  GR24 
    EFP   HP    3.5 303  P       17:23:54.44   0.5 A  1.0  EFP  
    ANX   HP    3.6 305  P       17:23:55.11   0.2 A  1.0  ANX  
    PAIG  HT    3.7 335  P       17:23:55.17  -1.1 A  1.0  PAIG 
    GR18  1Y    4.0 324  P       17:23:59.75   0.2 A  1.0  GR18 
    OUR   HT    4.0 341  P       17:23:59.23  -0.8 A  1.0  OUR  
    GR20  1Y    4.1 312  P       17:24:02.86   1.2 A  1.0  GR20 
    THL   HL    4.2 317  P       17:24:02.66   0.1 A  1.0  THL  
    GR05  1Y    4.3 359  P       17:24:02.99  -1.1 A  1.0  GR05 
    KOKK  HT    4.4 343  P       17:24:06.13  -0.1 A  1.0  KOKK 
    GR17  1Y    4.5 316  P       17:24:08.29   1.2 A  1.0  GR17 
    HORT  HT    4.5 334  P       17:24:07.03  -0.1 A  1.0  HORT 
    RDO   HL    4.6 358  P       17:24:07.23  -0.7 A  1.0  RDO  
    SRS   HT    4.8 341  P       17:24:11.01  -0.4 A  1.0  SRS  
    PRAS  HL    4.9 350  P       17:24:12.22   0.3 A  1.0  PRAS 
    GR10  1Y    5.1 322  P       17:24:15.94   1.2 AX 0.0  GR10 
    GRG   HT    5.1 331  P       17:24:15.09   0.1 AX 0.0  GRG  
    PENT  HL    5.1 317  P       17:24:17.55   2.3 AX 0.0  PENT 
    MMB   BS    5.2 344  P       17:24:16.96   0.4 AX 0.0  MMB  
    NEST  HT    5.3 318  P       17:24:20.55   2.6 AX 0.0  NEST 

79 Station magnitudes:
    sta  net   dist azi  type   value   res        amp per
    CMBO  HT    0.3 247  MLv     3.73 -0.08    78.0351      
    SNT1  HA    0.3 235  MLv     3.50 -0.32    28.3884      
    THERA HL    0.3 222  MLv     3.48 -0.34    39.6511      
    SANT  HL    0.3 225  MLv     3.74 -0.07    52.8175      
    SAP3  HL    0.3 245  MLv     3.53 -0.29    55.9571      
    AKRO  HT    0.3 229  MLv     3.98  0.16    90.4776      
    APE   HL    0.5 343  MLv     3.80 -0.01    18.2251      
    NAX1  HI    0.6 333  MLv     3.93  0.11    19.8776      
    MIL7  HL    1.0 278  MLv     4.61  0.79    57.8923      
    MHLO  HL    1.1 277  MLv     4.08  0.27    31.9825      
    TNSA  HL    1.1 336  MLv     4.00  0.18    12.8919      
    NISR  HL    1.1  88  MLv     3.90  0.08    9.21244      
    NSR2  HA    1.2  90  MLv     4.11  0.30    14.7145      
    NISR2 HL    1.2  90  MLv     4.03  0.21    11.8071      
    NPS   HL    1.3 184  MLv     3.83  0.02    6.33403      
    KNSS  HC    1.3 199  MLv     3.94  0.12    7.78619      
    SMG   HL    1.4  38  MLv     3.57 -0.25    2.91285      
    IDI   MN    1.4 208  MLv     3.77 -0.05     4.5956      
    KRL1  HI    1.5  33  MLv     3.80 -0.02    4.92373      
    ZKR   HL    1.5 164  MLv     3.82  0.00      4.758      
    PFKS  HC    1.5 187  MLv     3.72 -0.10    3.65409      
    SIVA  HL    1.7 205  MLv     3.87  0.06    4.14964      
    KARY  HA    1.8 326  MLv     3.96  0.14    4.69133      
    IMMV  HL    1.8 232  MLv     3.78 -0.03    3.07887      
    ARG   HL    2.0 100  MLv     3.56 -0.25    1.47272      
    VLY   HL    2.0 310  MLv     4.08  0.27    4.76611      
    ATHU  HA    2.1 313  MLv     4.07  0.25    2.55616      
    MRTH  HA    2.1 318  MLv     4.25  0.43    6.08568      
    ATH   HL    2.1 312  MLv     4.09  0.27    4.10666      
    KTHA  HL    2.2 262  MLv     3.61 -0.21    1.28314      
    ALIO  HA    2.2 313  MLv     3.92  0.11     2.5173      
    GR32  1Y    2.2 281  MLv     3.48 -0.34   0.881905      
    VLI   HL    2.2 275  MLv     3.65 -0.16    1.69175      
    EPID  HA    2.3 297  MLv     3.77 -0.04    1.54439      
    MDRA  HA    2.3 310  MLv     3.94  0.12    2.22475      
    ERTR  HA    2.4 321  MLv     3.75 -0.06    1.34719      
    VILL  HA    2.5 311  MLv     4.01  0.20    2.15427      
    THIV  HA    2.6 313  MLv     4.27  0.45    3.53223      
    PSAH  HA    2.6 321  MLv     4.06  0.25    2.14618      
    GR26  1Y    2.6 316  MLv     3.93  0.12    1.57793      
    GR31  1Y    2.6 281  MLv     3.63 -0.18   0.780062      
    AMPE  HA    2.6 312  MLv     3.82  0.01     1.2019      
    ACOR  HA    2.6 301  MLv     3.73 -0.08    0.95589      
    LTK   HP    2.6 304  MLv     3.25 -0.56     1.1951      
    GR30  1Y    2.7 292  MLv     3.76 -0.05   0.951714      
    MRKA  HA    2.7 322  MLv     3.97  0.15    1.45313      
    GR33  1Y    2.7 275  MLv     3.41 -0.41   0.396816      
    LES3  HT    2.8   8  MLv     3.50 -0.31   0.472288      
    VLX   HP    2.8 288  MLv     3.37 -0.45   0.334584      
    PRDM  HA    2.8 308  MLv     3.77 -0.05    0.77613      
    AOS2  HT    3.0 331  MLv     4.08  0.26    1.35182      
    LKR   HL    3.0 315  MLv     4.26  0.44    1.07216      
    GUR   HP    3.0 298  MLv     3.79 -0.03   0.660733      
    DSF   HP    3.1 307  MLv     3.65 -0.16   0.414808      
    KLV   HL    3.2 298  MLv     3.73 -0.09   0.344485      
    PYL   HP    3.2 277  MLv     3.93  0.12   0.277724      
    AXAR  HA    3.3 313  MLv     3.75 -0.07    1.72326      
    ACHL  HT    3.3 319  MLv     3.87  0.05   0.571499      
    AIOA  CL    3.3 300  MLv     3.78 -0.03   0.111764      
    GR22  1Y    3.4 319  MLv     4.01  0.19   0.669043      
    TRIZ  CL    3.4 303  MLv     3.73 -0.08   0.352578      
    LAKA  HA    3.4 300  MLv     3.56 -0.26   0.232928      
    PYRG  CL    3.5 303  MLv     2.78 -1.03   0.0229785      
    DRO   HP    3.5 295  MLv     3.66 -0.16   0.560752      
    GR24  1Y    3.5 308  MLv     3.72 -0.09   0.302123      
    EFP   HP    3.5 303  MLv     3.76 -0.06   0.311238      
    ANX   HP    3.6 305  MLv     4.01  0.19   0.509491      
    PAIG  HT    3.7 335  MLv     3.94  0.12   0.309393      
    GR18  1Y    4.0 324  MLv     3.94  0.12   0.352841      
    OUR   HT    4.0 341  MLv     3.85  0.03   0.280089      
    GR20  1Y    4.1 312  MLv     3.65 -0.16   0.168396      
    THL   HL    4.2 317  MLv     3.91  0.10   0.177965      
    GR05  1Y    4.3 359  MLv     3.71 -0.11   0.170401      
    KOKK  HT    4.4 343  MLv     3.69 -0.13   0.150531      
    GR17  1Y    4.5 316  MLv     4.05  0.23   0.331462      
    HORT  HT    4.5 334  MLv     3.78 -0.03   0.121583      
    RDO   HL    4.6 358  MLv     3.74 -0.08   0.105794      
    SRS   HT    4.8 341  MLv     3.74 -0.07   0.0969744      
    PRAS  HL    4.9 350  MLv     3.71 -0.11   0.124651