Πληροφορίες Σεισμού
 Χρόνος Γένεσης
2025-02-03 13:52:51 (GMT)
 Μέγεθος
M 4.1
 Γεωγρ. Πλάτος
36.6705° Β
 Γεωγρ. Μήκος
25.6245° Α
 Εστιακό Βάθος
6 χμ
 Αρ. αφίξεων
26
 Επίκεντρο 33.0 χμ ΒΒΑ της Θήρας
53.2 χμ ΝΝΑ της Νάξου
222.0 χμ ΝΑ της Αθήνας
 Τύπος Λύσης
Χειρακτική (από αναλυτή)
 Αρχεία / Σύνδεσμοι
QuakeML  GSE2.0  Alert  .phi  ShakeMap  
  

  Χάρτης εντάσεως


PGA
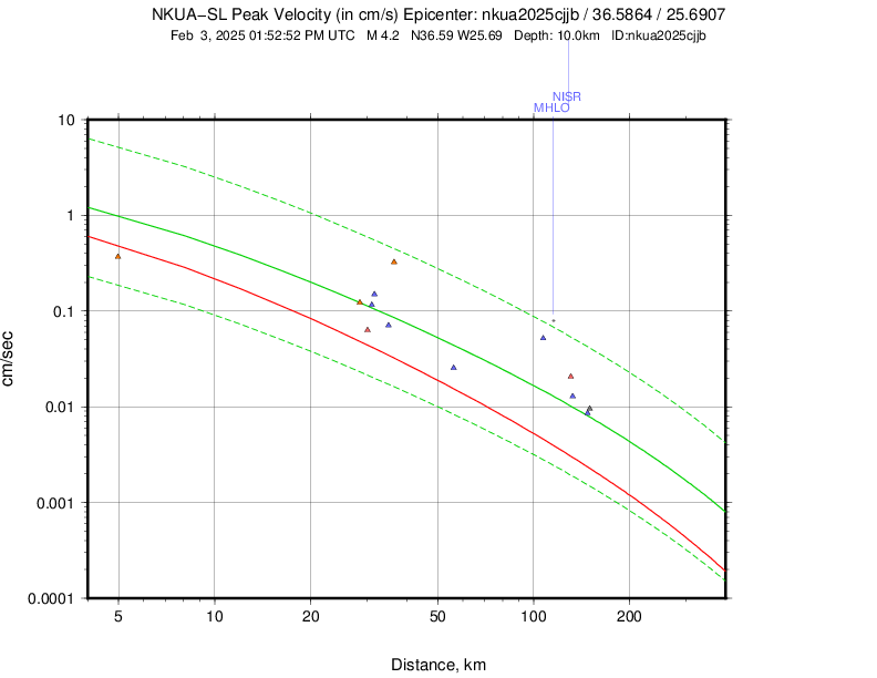
PGV
MI

Αρχεία: Google Earth (.kmz), Measurements (.csv)


  Δεδομένα σταθμών

StationNetDist.(km)Azim.PhaseArr.TimeRes.Wgt.Type
CMBOHT29.6222 P13:52:57.29 0.41.0M
CMBOHT29.6222 S13:53:01.23 0.11.0M
THR2HT30.1214 P13:52:57.02 0.01.0M
THR2HT30.1214 S13:53:01.48 0.11.0M
THR8HT32.1204 P13:52:57.36 0.11.0M
THR8HT32.1204 S13:53:01.83 -0.11.0M
SNT1HA33.3212 P13:52:57.41 -0.11.0M
SNT1HA33.3212 S13:53:01.75 -0.51.0M
SAP3HL36.1224 P13:52:58.18 0.21.0M
SAP3HL36.1224 S13:53:02.81 -0.31.0M
THERAHL36.3202 P13:52:57.63 -0.41.0M
THERAHL36.3202 S13:53:02.25 -0.91.0M
SANTHL36.5204 P13:52:57.67 -0.41.0M
SANTHL36.5204 S13:53:02.21 -1.11.0M
AKROHT40.2211 P13:52:58.64 0.01.0M
AKROHT40.2211 S13:53:03.89 -0.41.0M
APEHL45.6349 P13:52:59.63 0.11.0M
APEHL45.6349 S13:53:05.62 -0.31.0M
MHLOHL109.1271 P13:53:11.12 1.31.0M
MHLOHL109.1271 S13:53:24.97 1.01.0M
NSR2HA137.0 94 P13:53:14.29 0.01.0M
NSR2HA137.0 94 S13:53:31.83 0.11.0M
NISR2HL138.9 94 P13:53:14.61 0.11.0M
NISR2HL138.9 94 S13:53:32.38 0.11.0M
NPSHL156.7180 P13:53:16.85 -0.31.0M
NPSHL156.7180 S13:53:37.31 0.41.0M


  Λεπτομέρειες λύσης

Event:
    Public ID              nkua2025cjjb
    Description
      region name: Dodecanese Islands, Greece
Origin:
    Date                   2025-02-03
    Time                  13:52:51.27
    Latitude              36.6705 deg  +/-      0 km
    Longitude             25.6245 deg  +/-      0 km
    Depth                       6 km   +/-    2 km
    Agency                 HA
    Author                 A. Karakonstantis
    Mode                   manual
    Status                 confirmed
    Residual RMS             0.33 s
    Azimuthal gap             106 deg

2 Network magnitudes:
    MLv       4.10 +/- 0.26  11            
    M         4.10           11 preferred  

26 Phase arrivals:
    sta  net   dist azi  phase   time          res     wt  sta
    CMBO  HT    0.3 222  P       13:52:57.29   0.4 M  1.0  CMBO 
    CMBO  HT    0.3 222  S       13:53:01.23   0.1 M  1.0  CMBO 
    THR2  HT    0.3 214  P       13:52:57.02   0.0 M  1.0  THR2 
    THR2  HT    0.3 214  S       13:53:01.48   0.1 M  1.0  THR2 
    THR8  HT    0.3 204  P       13:52:57.36   0.1 M  1.0  THR8 
    THR8  HT    0.3 204  S       13:53:01.83  -0.1 M  1.0  THR8 
    SNT1  HA    0.3 212  P       13:52:57.41  -0.1 M  1.0  SNT1 
    SNT1  HA    0.3 212  S       13:53:01.75  -0.5 M  1.0  SNT1 
    SAP3  HL    0.3 224  P       13:52:58.18   0.2 M  1.0  SAP3 
    SAP3  HL    0.3 224  S       13:53:02.81  -0.3 M  1.0  SAP3 
    THERA HL    0.3 202  P       13:52:57.63  -0.4 M  1.0  THERA
    THERA HL    0.3 202  S       13:53:02.25  -0.9 M  1.0  THERA
    SANT  HL    0.3 204  P       13:52:57.67  -0.4 M  1.0  SANT 
    SANT  HL    0.3 204  S       13:53:02.21  -1.1 M  1.0  SANT 
    AKRO  HT    0.4 211  P       13:52:58.64  -0.0 M  1.0  AKRO 
    AKRO  HT    0.4 211  S       13:53:03.89  -0.4 M  1.0  AKRO 
    APE   HL    0.4 349  P       13:52:59.63   0.1 M  1.0  APE  
    APE   HL    0.4 349  S       13:53:05.62  -0.3 M  1.0  APE  
    MHLO  HL    1.0 271  P       13:53:11.12   1.3 M  1.0  MHLO 
    MHLO  HL    1.0 271  S       13:53:24.97   1.0 M  1.0  MHLO 
    NSR2  HA    1.2  94  P       13:53:14.29   0.0 M  1.0  NSR2 
    NSR2  HA    1.2  94  S       13:53:31.83   0.1 M  1.0  NSR2 
    NISR2 HL    1.3  94  P       13:53:14.61   0.1 M  1.0  NISR2
    NISR2 HL    1.3  94  S       13:53:32.38   0.1 M  1.0  NISR2
    NPS   HL    1.4 180  P       13:53:16.85  -0.3 M  1.0  NPS  
    NPS   HL    1.4 180  S       13:53:37.31   0.4 M  1.0  NPS  

13 Station magnitudes:
    sta  net   dist azi  type   value   res        amp per
    CMBO  HT    0.3 222  MLv     4.04 -0.06    160.636      
    THR2  HT    0.3 214  MLv     3.80 -0.30    205.324      
    THR8  HT    0.3 204  MLv     0.08 -4.02   0.0347672      
    SNT1  HA    0.3 212  MLv     4.11  0.01    101.849      
    SAP3  HL    0.3 224  MLv     3.76 -0.34     95.821      
    THERA HL    0.3 202  MLv     4.08 -0.02    118.605      
    SANT  HL    0.3 204  MLv     4.34  0.24    161.356      
    AKRO  HT    0.4 211  MLv     4.54  0.44    272.624      
    APE   HL    0.4 349  MLv     3.61 -0.49    23.6424      
    MHLO  HL    1.0 271  MLv     4.49  0.39    89.9564      
    NSR2  HA    1.2  94  MLv     4.20  0.10    16.5657      
    NISR2 HL    1.3  94  MLv     4.10 -0.00    12.7766      
    NPS   HL    1.4 180  MLv     4.56  0.46    30.2262