Πληροφορίες Σεισμού
 Χρόνος Γένεσης
2022-04-16 17:00:38 (GMT)
 Μέγεθος
M 4.8
 Γεωγρ. Πλάτος
35.9697° Β
 Γεωγρ. Μήκος
22.5890° Α
 Εστιακό Βάθος
70 χμ
 Αρ. αφίξεων
94
 Επίκεντρο 49.7 χμ ΝΔ των Κυθήρων
123.3 χμ ΝΑ της Μεθώνης
245.9 χμ ΝΝΔ της Αθήνας
 Τύπος Λύσης
Χειρακτική (από αναλυτή)
 Αρχεία / Σύνδεσμοι
QuakeML  GSE2.0  Alert  .phi  ShakeMap  Μηχ.Γέν.
  

  Μηχανισμός Γένεσης

Μηχ.Γεν. Παράταξη (°) Κλίση (°) Γων.Ολίσθ. (°) Σεισμ.Ροπή (dyn*cm)
27888-174 3.08E+23

Γεωγρ.Πλάτος (°Β) Γεωγρ.Μήκος (°Α) Βάθος (χμ) Μέγεθος Mw
35.997722.601257.04.9

Υπολογισμός εστιακών παραμέτρων

Κλικ εδώ για λεπτομέρειες μηχανισμού γένεσης


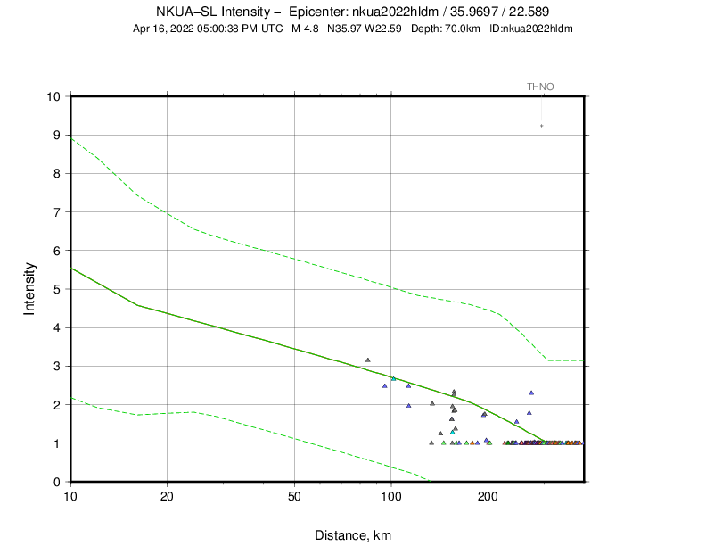
  Χάρτης εντάσεως


PGA
PGV
MI

Αρχεία: Google Earth (.kmz), Measurements (.csv)


  Δεδομένα σταθμών

StationNetDist.(km)Azim.PhaseArr.TimeRes.Wgt.Type
ANKYHL65.1100 P17:00:52.77 0.21.0M
ANKYHL65.1100 S17:01:02.30 -0.91.0M
VLIHL89.2 21 P17:00:55.75 0.71.0M
VLIHL89.2 21 S17:01:07.39 -0.11.0M
MNVAHL89.3 27 P17:00:55.78 0.71.0M
MNVAHL89.3 27 S17:01:07.58 0.11.0M
KTRSHC113.8339 P17:00:57.82 0.01.0M
KTRSHC113.8339 S17:01:12.25 -0.11.0M
RODPHC114.8113 P17:00:59.13 1.11.0M
KNDRHC124.3131 P17:00:59.50 0.41.0M
KNDRHC124.3131 S17:01:13.56 -1.01.0M
PYLHP127.8324 P17:00:59.09 -0.41.0M
PYLHP127.8324 S17:01:15.33 0.01.0M
IMMVHL137.8114 P17:01:01.55 0.81.0M
IMMVHL137.8114 S17:01:17.98 0.51.0M
CHANHC140.4111 P17:01:01.97 0.91.0M
CHANHC140.4111 S17:01:18.49 0.51.0M
VALYHP143.4338 P17:01:01.67 0.31.0M
VALYHP143.4338 S17:01:19.19 0.61.0M
ITMHL146.9336 P17:01:02.00 0.11.0M
ITMHL146.9336 S17:01:19.86 0.41.0M
KRNDHT164.9 18 P17:01:04.58 0.61.0M
YDRAHL172.2 27 P17:01:05.37 0.51.0M
YDRAHL172.2 27 S17:01:25.33 0.61.0M
MHLOHL181.0 64 P17:01:06.08 0.01.0M
MHLOHL181.0 64 S17:01:26.76 -0.11.0M
IPPLHC182.9112 P17:01:06.76 0.51.0M
IPPLHC182.9112 S17:01:28.00 0.71.0M
GVDHL185.1133 P17:01:06.40 -0.11.0M
GVDHL185.1133 S17:01:27.07 -0.61.0M
EPIDHA188.9 15 P17:01:07.90 0.91.0M
AMTHP190.6336 P17:01:07.67 0.41.0M
SERIHA215.0 52 P17:01:09.59 -0.81.0M
IDIMN221.3110 P17:01:11.03 -0.21.0M
LOUTHA227.0 9 P17:01:12.55 0.81.0M
SIVAHL227.4118 P17:01:11.10 -0.81.0M
SIVAHL227.4118 S17:01:36.31 -0.81.0M
IMODHC228.8119 P17:01:12.09 0.01.0M
THALHA229.8 2 P17:01:12.62 0.51.0M
THALHA229.8 2 S17:01:37.49 0.01.0M
VLYHL235.2 27 P17:01:12.75 0.01.0M
VLYHL235.2 27 S17:01:38.62 -0.11.0M
ATHHL244.4 24 P17:01:14.29 0.41.0M
MDRAHA245.2 19 P17:01:13.98 -0.11.0M
MDRAHA245.2 19 S17:01:40.88 -0.11.0M
KNSSHC245.6107 P17:01:14.52 0.31.0M
CRE2HL248.0112 P17:01:14.54 0.01.0M
MRTHHA267.8 27 P17:01:16.81 -0.11.0M
MRTHHA267.8 27 S17:01:45.72 -0.21.0M
KARYHA282.0 36 P17:01:18.20 -0.51.0M
KARYHA282.0 36 S17:01:48.10 -1.11.0M
RTZLHT284.4325 P17:01:18.59 -0.41.0M
RTZLHT284.4325 S17:01:49.77 0.11.0M
THNOHC286.3 49 P17:01:18.23 -1.11.0M
THNOHC286.3 49 S17:01:50.38 0.21.0M
TNSAHL288.2 53 P17:01:18.57 -0.91.0M
TNSAHL288.2 53 S17:01:49.95 -0.61.0M
PSDAHT297.5323 P17:01:19.69 -1.01.0M
PSDAHT297.5323 S17:01:52.37 -0.21.0M
LKRHL300.2 7 P17:01:21.23 0.31.0M
LKRHL300.2 7 S17:01:53.33 0.21.0M
VLSHL302.8324 P17:01:20.62 -0.81.0M
VLSHL302.8324 S17:01:53.40 -0.51.0M
ATALHA305.2 7 P17:01:21.95 0.31.0M
AXARHA311.0 1 P17:01:23.17 0.81.0M
AXARHA311.0 1 S17:01:55.95 0.41.0M
LX11HA312.9322 P17:01:22.31 -0.31.0M
LX11HA312.9322 S17:01:55.88 -0.11.0M
HAVDHA316.1322 P17:01:22.62 -0.41.0M
HAVDHA316.1322 S17:01:55.72 -1.11.0M
DMLNHT319.7322 P17:01:22.49 -1.11.0M
DMLNHT319.7322 S17:01:57.48 -0.21.0M
FSKHP329.9327 P17:01:24.14 -0.71.0M
FSKHP329.9327 S17:01:59.71 -0.11.0M
SKY1HI370.0 28 P17:01:29.67 -0.21.0M
SKY1HI370.0 28 S17:02:08.65 -0.11.0M
ART2HI380.3338 P17:01:31.00 -0.21.0M
ART2HI380.3338 S17:02:10.95 -0.11.0M
THLHL402.9353 P17:01:33.84 -0.21.0M
THLHL402.9353 S17:02:15.25 -0.81.0M
KSTRHP405.5334 P17:01:33.60 -0.81.0M
KSTRHP405.5334 S17:02:15.93 -0.71.0M
CHOSHT407.7 49 P17:01:33.79 -1.11.0M
CHOSHT407.7 49 S17:02:17.11 -0.41.0M
NISRHL413.2 80 P17:01:34.64 -0.81.0M
NISRHL413.2 80 S17:02:18.22 -0.41.0M
KARPHL415.2 96 P17:01:34.75 -1.01.0M
NISR2HL416.7 81 P17:01:34.90 -1.11.0M
TYRNHT417.2356 P17:01:35.68 -0.11.0M
TYRNHT417.2356 S17:02:18.50 -0.61.0M
SMGHL424.4 63 P17:01:35.81 -1.11.0M
SMGHL424.4 63 S17:02:21.49 0.41.0M
JANHL437.5339 P17:01:38.15 -0.21.0M
IGTHT443.0333 P17:01:38.02 -1.01.0M


  Λεπτομέρειες λύσης

Event:
    Public ID              nkua2022hldm
    Type                   earthquake
    Description
      region name: Central Mediterranean Sea
Origin:
    Date                   2022-04-16
    Time                  17:00:38.71
    Latitude              35.9697 deg  +/-      1 km
    Longitude             22.5890 deg  +/-      1 km
    Depth                      70 km   +/-    2 km
    Agency                 HA
    Author                 A. Karakonstantis
    Mode                   manual
    Status                 confirmed
    Residual RMS             0.56 s
    Azimuthal gap             189 deg

2 Network magnitudes:
    MLv       4.78 +/- 0.15  43            
    M         4.78           43 preferred  

94 Phase arrivals:
    sta  net   dist azi  phase   time          res     wt  sta
    ANKY  HL    0.6 100  P       17:00:52.77   0.2 M  1.0  ANKY 
    ANKY  HL    0.6 100  S       17:01:02.30  -0.9 M  1.0  ANKY 
    VLI   HL    0.8  21  P       17:00:55.75   0.7 M  1.0  VLI  
    VLI   HL    0.8  21  S       17:01:07.39  -0.1 M  1.0  VLI  
    MNVA  HL    0.8  27  P       17:00:55.78   0.7 M  1.0  MNVA 
    MNVA  HL    0.8  27  S       17:01:07.58   0.1 M  1.0  MNVA 
    KTRS  HC    1.0 339  P       17:00:57.82  -0.0 M  1.0  KTRS 
    KTRS  HC    1.0 339  S       17:01:12.25  -0.1 M  1.0  KTRS 
    RODP  HC    1.0 113  P       17:00:59.13   1.1 M  1.0  RODP 
    KNDR  HC    1.1 131  P       17:00:59.50   0.4 M  1.0  KNDR 
    KNDR  HC    1.1 131  S       17:01:13.56  -1.0 M  1.0  KNDR 
    PYL   HP    1.1 324  P       17:00:59.09  -0.4 M  1.0  PYL  
    PYL   HP    1.1 324  S       17:01:15.33  -0.0 M  1.0  PYL  
    IMMV  HL    1.2 114  P       17:01:01.55   0.8 M  1.0  IMMV 
    IMMV  HL    1.2 114  S       17:01:17.98   0.5 M  1.0  IMMV 
    CHAN  HC    1.3 111  P       17:01:01.97   0.9 M  1.0  CHAN 
    CHAN  HC    1.3 111  S       17:01:18.49   0.5 M  1.0  CHAN 
    VALY  HP    1.3 338  P       17:01:01.67   0.3 M  1.0  VALY 
    VALY  HP    1.3 338  S       17:01:19.19   0.6 M  1.0  VALY 
    ITM   HL    1.3 336  P       17:01:02.00   0.1 M  1.0  ITM  
    ITM   HL    1.3 336  S       17:01:19.86   0.4 M  1.0  ITM  
    KRND  HT    1.5  18  P       17:01:04.58   0.6 M  1.0  KRND 
    YDRA  HL    1.5  27  P       17:01:05.37   0.5 M  1.0  YDRA 
    YDRA  HL    1.5  27  S       17:01:25.33   0.6 M  1.0  YDRA 
    MHLO  HL    1.6  64  P       17:01:06.08   0.0 M  1.0  MHLO 
    MHLO  HL    1.6  64  S       17:01:26.76  -0.1 M  1.0  MHLO 
    IPPL  HC    1.6 112  P       17:01:06.76   0.5 M  1.0  IPPL 
    IPPL  HC    1.6 112  S       17:01:28.00   0.7 M  1.0  IPPL 
    GVD   HL    1.7 133  P       17:01:06.40  -0.1 M  1.0  GVD  
    GVD   HL    1.7 133  S       17:01:27.07  -0.6 M  1.0  GVD  
    EPID  HA    1.7  15  P       17:01:07.90   0.9 M  1.0  EPID 
    AMT   HP    1.7 336  P       17:01:07.67   0.4 M  1.0  AMT  
    SERI  HA    1.9  52  P       17:01:09.59  -0.8 M  1.0  SERI 
    IDI   MN    2.0 110  P       17:01:11.03  -0.2 M  1.0  IDI  
    LOUT  HA    2.0   9  P       17:01:12.55   0.8 M  1.0  LOUT 
    SIVA  HL    2.0 118  P       17:01:11.10  -0.8 M  1.0  SIVA 
    SIVA  HL    2.0 118  S       17:01:36.31  -0.8 M  1.0  SIVA 
    IMOD  HC    2.1 119  P       17:01:12.09   0.0 M  1.0  IMOD 
    THAL  HA    2.1   2  P       17:01:12.62   0.5 M  1.0  THAL 
    THAL  HA    2.1   2  S       17:01:37.49   0.0 M  1.0  THAL 
    VLY   HL    2.1  27  P       17:01:12.75  -0.0 M  1.0  VLY  
    VLY   HL    2.1  27  S       17:01:38.62  -0.1 M  1.0  VLY  
    ATH   HL    2.2  24  P       17:01:14.29   0.4 M  1.0  ATH  
    MDRA  HA    2.2  19  P       17:01:13.98  -0.1 M  1.0  MDRA 
    MDRA  HA    2.2  19  S       17:01:40.88  -0.1 M  1.0  MDRA 
    KNSS  HC    2.2 107  P       17:01:14.52   0.3 M  1.0  KNSS 
    CRE2  HL    2.2 112  P       17:01:14.54   0.0 M  1.0  CRE2 
    MRTH  HA    2.4  27  P       17:01:16.81  -0.1 M  1.0  MRTH 
    MRTH  HA    2.4  27  S       17:01:45.72  -0.2 M  1.0  MRTH 
    KARY  HA    2.5  36  P       17:01:18.20  -0.5 M  1.0  KARY 
    KARY  HA    2.5  36  S       17:01:48.10  -1.1 M  1.0  KARY 
    RTZL  HT    2.6 325  P       17:01:18.59  -0.4 M  1.0  RTZL 
    RTZL  HT    2.6 325  S       17:01:49.77   0.1 M  1.0  RTZL 
    THNO  HC    2.6  49  P       17:01:18.23  -1.1 M  1.0  THNO 
    THNO  HC    2.6  49  S       17:01:50.38   0.2 M  1.0  THNO 
    TNSA  HL    2.6  53  P       17:01:18.57  -0.9 M  1.0  TNSA 
    TNSA  HL    2.6  53  S       17:01:49.95  -0.6 M  1.0  TNSA 
    PSDA  HT    2.7 323  P       17:01:19.69  -1.0 M  1.0  PSDA 
    PSDA  HT    2.7 323  S       17:01:52.37  -0.2 M  1.0  PSDA 
    LKR   HL    2.7   7  P       17:01:21.23   0.3 M  1.0  LKR  
    LKR   HL    2.7   7  S       17:01:53.33   0.2 M  1.0  LKR  
    VLS   HL    2.7 324  P       17:01:20.62  -0.8 M  1.0  VLS  
    VLS   HL    2.7 324  S       17:01:53.40  -0.5 M  1.0  VLS  
    ATAL  HA    2.7   7  P       17:01:21.95   0.3 M  1.0  ATAL 
    AXAR  HA    2.8   1  P       17:01:23.17   0.8 M  1.0  AXAR 
    AXAR  HA    2.8   1  S       17:01:55.95   0.4 M  1.0  AXAR 
    LX11  HA    2.8 322  P       17:01:22.31  -0.3 M  1.0  LX11 
    LX11  HA    2.8 322  S       17:01:55.88  -0.1 M  1.0  LX11 
    HAVD  HA    2.8 322  P       17:01:22.62  -0.4 M  1.0  HAVD 
    HAVD  HA    2.8 322  S       17:01:55.72  -1.1 M  1.0  HAVD 
    DMLN  HT    2.9 322  P       17:01:22.49  -1.1 M  1.0  DMLN 
    DMLN  HT    2.9 322  S       17:01:57.48  -0.2 M  1.0  DMLN 
    FSK   HP    3.0 327  P       17:01:24.14  -0.7 M  1.0  FSK  
    FSK   HP    3.0 327  S       17:01:59.71  -0.1 M  1.0  FSK  
    SKY1  HI    3.3  28  P       17:01:29.67  -0.2 M  1.0  SKY1 
    SKY1  HI    3.3  28  S       17:02:08.65  -0.1 M  1.0  SKY1 
    ART2  HI    3.4 338  P       17:01:31.00  -0.2 M  1.0  ART2 
    ART2  HI    3.4 338  S       17:02:10.95  -0.1 M  1.0  ART2 
    THL   HL    3.6 353  P       17:01:33.84  -0.2 M  1.0  THL  
    THL   HL    3.6 353  S       17:02:15.25  -0.8 M  1.0  THL  
    KSTR  HP    3.6 334  P       17:01:33.60  -0.8 M  1.0  KSTR 
    KSTR  HP    3.6 334  S       17:02:15.93  -0.7 M  1.0  KSTR 
    CHOS  HT    3.7  49  P       17:01:33.79  -1.1 M  1.0  CHOS 
    CHOS  HT    3.7  49  S       17:02:17.11  -0.4 M  1.0  CHOS 
    NISR  HL    3.7  80  P       17:01:34.64  -0.8 M  1.0  NISR 
    NISR  HL    3.7  80  S       17:02:18.22  -0.4 M  1.0  NISR 
    KARP  HL    3.7  96  P       17:01:34.75  -1.0 M  1.0  KARP 
    TYRN  HT    3.7 356  P       17:01:35.68  -0.1 M  1.0  TYRN 
    TYRN  HT    3.7 356  S       17:02:18.50  -0.6 M  1.0  TYRN 
    NISR2 HL    3.8  81  P       17:01:34.90  -1.1 M  1.0  NISR2
    SMG   HL    3.8  63  P       17:01:35.81  -1.1 M  1.0  SMG  
    SMG   HL    3.8  63  S       17:02:21.49   0.4 M  1.0  SMG  
    JAN   HL    3.9 339  P       17:01:38.15  -0.2 M  1.0  JAN  
    IGT   HT    4.0 333  P       17:01:38.02  -1.0 M  1.0  IGT  

55 Station magnitudes:
    sta  net   dist azi  type   value   res        amp per
    ANKY  HL    0.6 100  MLv     4.87  0.09    174.235      
    VLI   HL    0.8  21  MLv     5.05  0.27    258.262      
    MNVA  HL    0.8  27  MLv     4.94  0.16    156.474      
    KTRS  HC    1.0 339  MLv     4.46 -0.33    38.6626      
    RODP  HC    1.0 113  MLv     4.86  0.08    97.0809      
    KNDR  HC    1.1 131  MLv     4.73 -0.05      63.91      
    PYL   HP    1.1 324  MLv     4.95  0.17    25.6836      
    IMMV  HL    1.2 114  MLv     4.91  0.12    82.4822      
    CHAN  HC    1.3 111  MLv     4.98  0.20    190.895      
    VALY  HP    1.3 338  MLv     4.42 -0.36    25.3657      
    ITM   HL    1.3 336  MLv     4.49 -0.29    28.7777      
    KRND  HT    1.5  18  MLv     4.44 -0.34    20.7101      
    YDRA  HL    1.5  27  MLv     4.66 -0.12    31.4914      
    MHLO  HL    1.6  64  MLv     4.74 -0.04    70.2107      
    IPPL  HC    1.6 112  MLv     5.14  0.36    84.3702      
    GVD   HL    1.7 133  MLv     4.61 -0.18    18.4867      
    EPID  HA    1.7  15  MLv     4.69 -0.09    28.1606      
    AMT   HP    1.7 336  MLv     4.98  0.20    53.4657      
    SERI  HA    1.9  52  MLv     4.36 -0.42    9.73703      
    IDI   MN    2.0 110  MLv     4.68 -0.10    19.0023      
    LOUT  HA    2.0   9  MLv     4.63 -0.15    15.8239      
    SIVA  HL    2.0 118  MLv     4.78  0.00    22.1813      
    IMOD  HC    2.1 119  MLv     4.88  0.10    27.5582      
    THAL  HA    2.1   2  MLv     4.74 -0.05    34.4052      
    VLY   HL    2.1  27  MLv     4.80  0.02    21.2677      
    ATH   HL    2.2  24  MLv     4.61 -0.17    12.2246      
    MDRA  HA    2.2  19  MLv     4.37 -0.41    6.97644      
    KNSS  HC    2.2 107  MLv     4.87  0.08    21.7909      
    CRE2  HL    2.2 112  MLv     4.71 -0.07    14.9676      
    MRTH  HA    2.4  27  MLv     4.84  0.05    15.7797      
    KARY  HA    2.5  36  MLv     4.60 -0.18    7.84277      
    RTZL  HT    2.6 325  MLv     4.17 -0.61    2.82345      
    THNO  HC    2.6  49  MLv     4.40 -0.39    4.62448      
    TNSA  HL    2.6  53  MLv     4.53 -0.25    6.18465      
    PSDA  HT    2.7 323  MLv     4.40 -0.39     4.0583      
    LKR   HL    2.7   7  MLv     4.75 -0.04    4.73256      
    VLS   HL    2.7 324  MLv     4.40 -0.39    3.81756      
    ATAL  HA    2.7   7  MLv     4.57 -0.21     5.5809      
    AXAR  HA    2.8   1  MLv     4.37 -0.41    13.1674      
    LX11  HA    2.8 322  MLv     4.76 -0.02    7.88891      
    HAVD  HA    2.8 322  MLv     4.40 -0.38    3.29748      
    DMLN  HT    2.9 322  MLv     4.48 -0.30    5.17094      
    FSK   HP    3.0 327  MLv     4.64 -0.14    4.90973      
    SKY1  HI    3.3  28  MLv     4.67 -0.12    3.28684      
    ART2  HI    3.4 338  MLv     5.04  0.26    6.92368      
    THL   HL    3.6 353  MLv     4.76 -0.02    1.70639      
    KSTR  HP    3.6 334  MLv     4.91  0.13    3.97634      
    CHOS  HT    3.7  49  MLv     4.63 -0.15    2.07373      
    NISR  HL    3.7  80  MLv     4.88  0.10    3.56747      
    KARP  HL    3.7  96  MLv     4.94  0.16    5.38642      
    TYRN  HT    3.7 356  MLv     4.69 -0.09    1.73538      
    NISR2 HL    3.8  81  MLv     4.94  0.15    3.96993      
    SMG   HL    3.8  63  MLv     4.58 -0.20    1.69405      
    JAN   HL    3.9 339  MLv     4.88  0.10    4.15418      
    IGT   HT    4.0 333  MLv     4.69 -0.09    1.97832