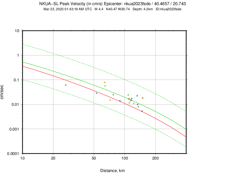
Πληροφορίες Σεισμού
 Χρόνος Γένεσης
2023-03-23 01:43:19 (GMT)
 Μέγεθος
M 4.4
 Γεωγρ. Πλάτος
40.4657° Β
 Γεωγρ. Μήκος
20.7430° Α
 Εστιακό Βάθος
4 χμ
 Αρ. αφίξεων
82
 Επίκεντρο 44.6 χμ Δ της Καστοριάς
46.4 χμ Β της Κόνιτσας
377.5 χμ ΒΔ της Αθήνας
 Τύπος Λύσης
Χειρακτική (από αναλυτή)
 Αρχεία / Σύνδεσμοι
QuakeML  GSE2.0  Alert  .phi  ShakeMap  Μηχ.Γέν.
  

  Μηχανισμός Γένεσης

Μηχ.Γεν. Παράταξη (°) Κλίση (°) Γων.Ολίσθ. (°) Σεισμ.Ροπή (dyn*cm)
26483-71 1.02E+23

Γεωγρ.Πλάτος (°Β) Γεωγρ.Μήκος (°Α) Βάθος (χμ) Μέγεθος Mw
40.483320.78215.04.6

Υπολογισμός εστιακών παραμέτρων

Κλικ εδώ για λεπτομέρειες μηχανισμού γένεσης


  Χάρτης εντάσεως


PGA
PGV
MI

Αρχεία: Google Earth (.kmz), Measurements (.csv)


  Δεδομένα σταθμών

StationNetDist.(km)Azim.PhaseArr.TimeRes.Wgt.Type
NESTHT26.5102 P01:43:24.74 0.21.0M
NESTHT26.5102 S01:43:27.89 -0.61.0M
LMS2HI53.1 39 P01:43:29.14 0.11.0M
LMS2HI53.1 39 S01:43:36.00 -0.41.0M
GR141Y64.4193 P01:43:30.11 -0.71.0M
GR141Y64.4193 S01:43:38.42 -1.11.0M
GR101Y72.0 88 P01:43:32.03 -0.11.0M
GR101Y72.0 88 S01:43:41.45 -0.41.0M
KPROHT77.4137 P01:43:32.17 -0.81.0M
KPROHT77.4137 S01:43:43.34 0.01.0M
PRMDHP108.3164 P01:43:37.14 -0.81.0M
PRMDHP108.3164 S01:43:51.28 -0.81.0M
IGTHT109.7199 P01:43:37.91 -0.11.0M
IGTHT109.7199 S01:43:51.91 -0.41.0M
GR171Y111.0137 P01:43:37.87 -0.51.0M
GR171Y111.0137 S01:43:52.26 -0.51.0M
GR161Y111.9115 P01:43:38.33 -0.21.0M
GR161Y111.9115 S01:43:52.66 -0.61.0M
GR071Y113.5 72 P01:43:38.80 0.11.0M
GR071Y113.5 72 S01:43:53.24 -0.31.0M
KEKHL116.2224 P01:43:38.97 -0.11.0M
KEKHL116.2224 S01:43:54.08 -0.11.0M
KRK1HI117.4217 P01:43:39.91 0.71.0M
KRK1HI117.4217 S01:43:54.18 -0.21.0M
GR111Y122.5 87 P01:43:40.23 0.11.0M
GR111Y122.5 87 S01:43:55.63 -0.41.0M
TIRMN122.8323 P01:43:40.26 0.11.0M
TIRMN122.8323 S01:43:55.90 -0.11.0M
TETRHL132.7160 P01:43:41.47 -0.31.0M
TETRHL132.7160 S01:43:58.52 -0.31.0M
THLHL147.5133 P01:43:43.48 -0.51.0M
THLHL147.5133 S01:44:03.01 0.31.0M
ART2HI148.1172 P01:43:44.00 0.01.0M
ART2HI148.1172 S01:44:03.43 0.61.0M
GRGHT150.1 69 P01:43:44.66 0.21.0M
GRGHT150.1 69 S01:44:03.75 0.21.0M
GR121Y152.2 90 P01:43:45.64 0.91.0M
GR121Y152.2 90 S01:44:04.56 0.51.0M
LITHT153.6105 P01:43:45.24 0.21.0M
LITHT153.6105 S01:44:04.91 0.41.0M
GR201Y161.4148 P01:43:45.60 -0.61.0M
GR201Y161.4148 S01:44:07.12 0.51.0M
GINAHL165.7122 P01:43:47.50 0.71.0M
GINAHL165.7122 S01:44:08.14 0.51.0M
NESNHT173.5118 P01:43:48.46 0.51.0M
NESNHT173.5118 S01:44:09.88 0.21.0M
TSLKHT182.6182 P01:43:49.87 0.81.0M
TSLKHT182.6182 S01:44:11.96 0.31.0M
GR181Y183.2117 P01:43:49.30 0.01.0M
GR181Y183.2117 S01:44:12.59 0.41.0M
LKD2HT186.6182 P01:43:50.34 0.71.0M
LKD2HT186.6182 S01:44:13.26 0.61.0M
THEHT188.5 84 P01:43:49.63 -0.21.0M
THEHT188.5 84 S01:44:13.07 -0.11.0M
GR211Y193.8129 P01:43:50.52 -0.11.0M
GR211Y193.8129 S01:44:14.72 0.41.0M
EVRHL195.0152 P01:43:50.91 0.11.0M
EVRHL195.0152 S01:44:14.78 0.11.0M
HORTHT199.7 86 P01:43:51.05 -0.41.0M
HORTHT199.7 86 S01:44:15.67 -0.21.0M
GR131Y207.2 93 P01:43:52.10 -0.21.0M
GR131Y207.2 93 S01:44:17.39 0.01.0M
PDOHP211.0170 P01:43:53.80 1.11.0M
PDOHP211.0170 S01:44:17.87 -0.21.0M
FSKHP223.6184 P01:43:55.40 1.11.0M
FSKHP223.6184 S01:44:20.90 0.01.0M
PLGHL228.9 93 P01:43:55.30 0.11.0M
PLGHL228.9 93 S01:44:22.31 -0.11.0M
GR011Y232.8 67 P01:43:56.31 0.71.0M
GR011Y232.8 67 S01:44:22.83 -0.31.0M
GR241Y233.5148 P01:43:56.75 1.01.0M
GR241Y233.5148 S01:44:23.66 0.31.0M
GR221Y234.8131 P01:43:55.26 -0.61.0M
GR221Y234.8131 S01:44:23.89 0.31.0M
MSL1HI240.0166 P01:43:56.50 0.11.0M
MSL1HI240.0166 S01:44:24.69 0.11.0M
ATHRHA240.5187 P01:43:57.12 0.61.0M
ATHRHA240.5187 S01:44:25.12 0.41.0M
PLN1HI246.0102 P01:43:57.01 -0.21.0M
PLN1HI246.0102 S01:44:25.55 -0.61.0M
KKBBS251.6 53 P01:43:58.88 0.91.0M
KKBBS251.6 53 S01:44:27.05 -0.41.0M


  Λεπτομέρειες λύσης

Event:
    Public ID              nkua2023fsde
    Description
      region name: Greece-Albania Border Region
Origin:
    Date                   2023-03-23
    Time                  01:43:19.30
    Latitude              40.4657 deg  +/-      0 km
    Longitude             20.7430 deg  +/-      0 km
    Depth                       4 km   +/-    1 km
    Agency                 HA
    Author                 A. Karakonstantis
    Mode                   manual
    Status                 confirmed
    Residual RMS             0.39 s
    Azimuthal gap              99 deg

2 Network magnitudes:
    MLv       4.39 +/- 0.11  31            
    M         4.39           31 preferred  

82 Phase arrivals:
    sta  net   dist azi  phase   time          res     wt  sta
    NEST  HT    0.2 102  P       01:43:24.74   0.2 M  1.0  NEST 
    NEST  HT    0.2 102  S       01:43:27.89  -0.6 M  1.0  NEST 
    LMS2  HI    0.5  39  P       01:43:29.14   0.1 M  1.0  LMS2 
    LMS2  HI    0.5  39  S       01:43:36.00  -0.4 M  1.0  LMS2 
    GR14  1Y    0.6 193  P       01:43:30.11  -0.7 M  1.0  GR14 
    GR14  1Y    0.6 193  S       01:43:38.42  -1.1 M  1.0  GR14 
    GR10  1Y    0.6  88  P       01:43:32.03  -0.1 M  1.0  GR10 
    GR10  1Y    0.6  88  S       01:43:41.45  -0.4 M  1.0  GR10 
    KPRO  HT    0.7 137  P       01:43:32.17  -0.8 M  1.0  KPRO 
    KPRO  HT    0.7 137  S       01:43:43.34  -0.0 M  1.0  KPRO 
    PRMD  HP    1.0 164  P       01:43:37.14  -0.8 M  1.0  PRMD 
    PRMD  HP    1.0 164  S       01:43:51.28  -0.8 M  1.0  PRMD 
    IGT   HT    1.0 199  P       01:43:37.91  -0.1 M  1.0  IGT  
    IGT   HT    1.0 199  S       01:43:51.91  -0.4 M  1.0  IGT  
    GR17  1Y    1.0 137  P       01:43:37.87  -0.5 M  1.0  GR17 
    GR17  1Y    1.0 137  S       01:43:52.26  -0.5 M  1.0  GR17 
    GR16  1Y    1.0 115  P       01:43:38.33  -0.2 M  1.0  GR16 
    GR16  1Y    1.0 115  S       01:43:52.66  -0.6 M  1.0  GR16 
    GR07  1Y    1.0  72  P       01:43:38.80   0.1 M  1.0  GR07 
    GR07  1Y    1.0  72  S       01:43:53.24  -0.3 M  1.0  GR07 
    KEK   HL    1.0 224  P       01:43:38.97  -0.1 M  1.0  KEK  
    KEK   HL    1.0 224  S       01:43:54.08  -0.1 M  1.0  KEK  
    KRK1  HI    1.1 217  P       01:43:39.91   0.7 M  1.0  KRK1 
    KRK1  HI    1.1 217  S       01:43:54.18  -0.2 M  1.0  KRK1 
    GR11  1Y    1.1  87  P       01:43:40.23   0.1 M  1.0  GR11 
    GR11  1Y    1.1  87  S       01:43:55.63  -0.4 M  1.0  GR11 
    TIR   MN    1.1 323  P       01:43:40.26   0.1 M  1.0  TIR  
    TIR   MN    1.1 323  S       01:43:55.90  -0.1 M  1.0  TIR  
    TETR  HL    1.2 160  P       01:43:41.47  -0.3 M  1.0  TETR 
    TETR  HL    1.2 160  S       01:43:58.52  -0.3 M  1.0  TETR 
    THL   HL    1.3 133  P       01:43:43.48  -0.5 M  1.0  THL  
    THL   HL    1.3 133  S       01:44:03.01   0.3 M  1.0  THL  
    ART2  HI    1.3 172  P       01:43:44.00  -0.0 M  1.0  ART2 
    ART2  HI    1.3 172  S       01:44:03.43   0.6 M  1.0  ART2 
    GRG   HT    1.4  69  P       01:43:44.66   0.2 M  1.0  GRG  
    GRG   HT    1.4  69  S       01:44:03.75   0.2 M  1.0  GRG  
    GR12  1Y    1.4  90  P       01:43:45.64   0.9 M  1.0  GR12 
    GR12  1Y    1.4  90  S       01:44:04.56   0.5 M  1.0  GR12 
    LIT   HT    1.4 105  P       01:43:45.24   0.2 M  1.0  LIT  
    LIT   HT    1.4 105  S       01:44:04.91   0.4 M  1.0  LIT  
    GR20  1Y    1.5 148  P       01:43:45.60  -0.6 M  1.0  GR20 
    GR20  1Y    1.5 148  S       01:44:07.12   0.5 M  1.0  GR20 
    GINA  HL    1.5 122  P       01:43:47.50   0.7 M  1.0  GINA 
    GINA  HL    1.5 122  S       01:44:08.14   0.5 M  1.0  GINA 
    NESN  HT    1.6 118  P       01:43:48.46   0.5 M  1.0  NESN 
    NESN  HT    1.6 118  S       01:44:09.88   0.2 M  1.0  NESN 
    TSLK  HT    1.6 182  P       01:43:49.87   0.8 M  1.0  TSLK 
    TSLK  HT    1.6 182  S       01:44:11.96   0.3 M  1.0  TSLK 
    GR18  1Y    1.7 117  P       01:43:49.30  -0.0 M  1.0  GR18 
    GR18  1Y    1.7 117  S       01:44:12.59   0.4 M  1.0  GR18 
    LKD2  HT    1.7 182  P       01:43:50.34   0.7 M  1.0  LKD2 
    LKD2  HT    1.7 182  S       01:44:13.26   0.6 M  1.0  LKD2 
    THE   HT    1.7  84  P       01:43:49.63  -0.2 M  1.0  THE  
    THE   HT    1.7  84  S       01:44:13.07  -0.1 M  1.0  THE  
    GR21  1Y    1.7 129  P       01:43:50.52  -0.1 M  1.0  GR21 
    GR21  1Y    1.7 129  S       01:44:14.72   0.4 M  1.0  GR21 
    EVR   HL    1.8 152  P       01:43:50.91   0.1 M  1.0  EVR  
    EVR   HL    1.8 152  S       01:44:14.78   0.1 M  1.0  EVR  
    HORT  HT    1.8  86  P       01:43:51.05  -0.4 M  1.0  HORT 
    HORT  HT    1.8  86  S       01:44:15.67  -0.2 M  1.0  HORT 
    GR13  1Y    1.9  93  P       01:43:52.10  -0.2 M  1.0  GR13 
    GR13  1Y    1.9  93  S       01:44:17.39  -0.0 M  1.0  GR13 
    PDO   HP    1.9 170  P       01:43:53.80   1.1 M  1.0  PDO  
    PDO   HP    1.9 170  S       01:44:17.87  -0.2 M  1.0  PDO  
    FSK   HP    2.0 184  P       01:43:55.40   1.1 M  1.0  FSK  
    FSK   HP    2.0 184  S       01:44:20.90   0.0 M  1.0  FSK  
    PLG   HL    2.1  93  P       01:43:55.30   0.1 M  1.0  PLG  
    PLG   HL    2.1  93  S       01:44:22.31  -0.1 M  1.0  PLG  
    GR01  1Y    2.1  67  P       01:43:56.31   0.7 M  1.0  GR01 
    GR01  1Y    2.1  67  S       01:44:22.83  -0.3 M  1.0  GR01 
    GR24  1Y    2.1 148  P       01:43:56.75   1.0 M  1.0  GR24 
    GR24  1Y    2.1 148  S       01:44:23.66   0.3 M  1.0  GR24 
    GR22  1Y    2.1 131  P       01:43:55.26  -0.6 M  1.0  GR22 
    GR22  1Y    2.1 131  S       01:44:23.89   0.3 M  1.0  GR22 
    MSL1  HI    2.2 166  P       01:43:56.50   0.1 M  1.0  MSL1 
    MSL1  HI    2.2 166  S       01:44:24.69   0.1 M  1.0  MSL1 
    ATHR  HA    2.2 187  P       01:43:57.12   0.6 M  1.0  ATHR 
    ATHR  HA    2.2 187  S       01:44:25.12   0.4 M  1.0  ATHR 
    PLN1  HI    2.2 102  P       01:43:57.01  -0.2 M  1.0  PLN1 
    PLN1  HI    2.2 102  S       01:44:25.55  -0.6 M  1.0  PLN1 
    KKB   BS    2.3  53  P       01:43:58.88   0.9 M  1.0  KKB  
    KKB   BS    2.3  53  S       01:44:27.05  -0.4 M  1.0  KKB  

41 Station magnitudes:
    sta  net   dist azi  type   value   res        amp per
    NEST  HT    0.2 102  MLv     3.97 -0.42    160.089      
    LMS2  HI    0.5  39  MLv     4.00 -0.39    37.3611      
    GR14  1Y    0.6 193  MLv     4.47  0.08    70.4573      
    GR10  1Y    0.6  88  MLv     4.14 -0.24    30.3842      
    KPRO  HT    0.7 137  MLv     4.41  0.03    53.3959      
    PRMD  HP    1.0 164  MLv     4.53  0.14    48.6326      
    IGT   HT    1.0 199  MLv     4.52  0.14    47.1739      
    GR17  1Y    1.0 137  MLv     4.40  0.02    35.3754      
    GR16  1Y    1.0 115  MLv     4.48  0.09    41.3331      
    GR07  1Y    1.0  72  MLv     4.43  0.05    36.8783      
    KEK   HL    1.0 224  MLv     4.12 -0.26    33.2487      
    KRK1  HI    1.1 217  MLv     4.35 -0.03    29.1797      
    GR11  1Y    1.1  87  MLv     4.47  0.09    36.3465      
    TIR   MN    1.1 323  MLv     4.39  0.00    29.9023      
    TETR  HL    1.2 160  MLv     4.56  0.18    39.9473      
    THL   HL    1.3 133  MLv     4.60  0.21    21.7786      
    ART2  HI    1.3 172  MLv     4.45  0.07    25.7935      
    GRG   HT    1.4  69  MLv     4.64  0.25    38.7735      
    GR12  1Y    1.4  90  MLv     4.45  0.06    24.2554      
    LIT   HT    1.4 105  MLv     4.56  0.17    22.4076      
    GR20  1Y    1.5 148  MLv     4.35 -0.03    17.5976      
    GINA  HL    1.5 122  MLv     4.61  0.23    30.5362      
    NESN  HT    1.6 118  MLv     4.40  0.01    17.0569      
    TSLK  HT    1.6 182  MLv     4.31 -0.07    12.6188      
    GR18  1Y    1.7 117  MLv     4.30 -0.09    12.1616      
    LKD2  HT    1.7 182  MLv     4.41  0.02     15.021      
    THE   HT    1.7  84  MLv     4.14 -0.24     5.2345      
    GR21  1Y    1.7 129  MLv     4.19 -0.20     8.3446      
    EVR   HL    1.8 152  MLv     4.87  0.48    39.3104      
    HORT  HT    1.8  86  MLv     4.27 -0.11    6.40604      
    GR13  1Y    1.9  93  MLv     3.82 -0.56    3.07948      
    PDO   HP    1.9 170  MLv     4.46  0.08    12.7684      
    FSK   HP    2.0 184  MLv     4.47  0.08    11.2846      
    PLG   HL    2.1  93  MLv     4.21 -0.17    5.85288      
    GR01  1Y    2.1  67  MLv     4.10 -0.28    4.36213      
    GR24  1Y    2.1 148  MLv     4.50  0.11    10.7394      
    GR22  1Y    2.1 131  MLv     4.27 -0.12    6.26299      
    MSL1  HI    2.2 166  MLv     5.14  0.76    43.9682      
    ATHR  HA    2.2 187  MLv     4.36 -0.02    7.28769      
    PLN1  HI    2.2 102  MLv     4.38 -0.01    7.05334      
    KKB   BS    2.3  53  MLv     4.28 -0.10    5.33967