|
recent earthquake |
| date | time | latitude | longitude | depth | magnitude | ||
|---|---|---|---|---|---|---|---|
| °N | °E | km | Mw | ||||
| 18-05-2020 | 04:18:21.000 | 34.3497 | 25.6135 | 8.0 | 4.7 |
| strike | dip | rake | seismic moment | |
|---|---|---|---|---|
| ° | ° | ° | dyn-cm | |
| 91 | 79 | 90 | 1.20E+23 |
Event Location and Focal Mechanism |
Seismotectonic Map |
|---|---|
![]() |
![]() |
Source parameters determination |
|---|
![]() |
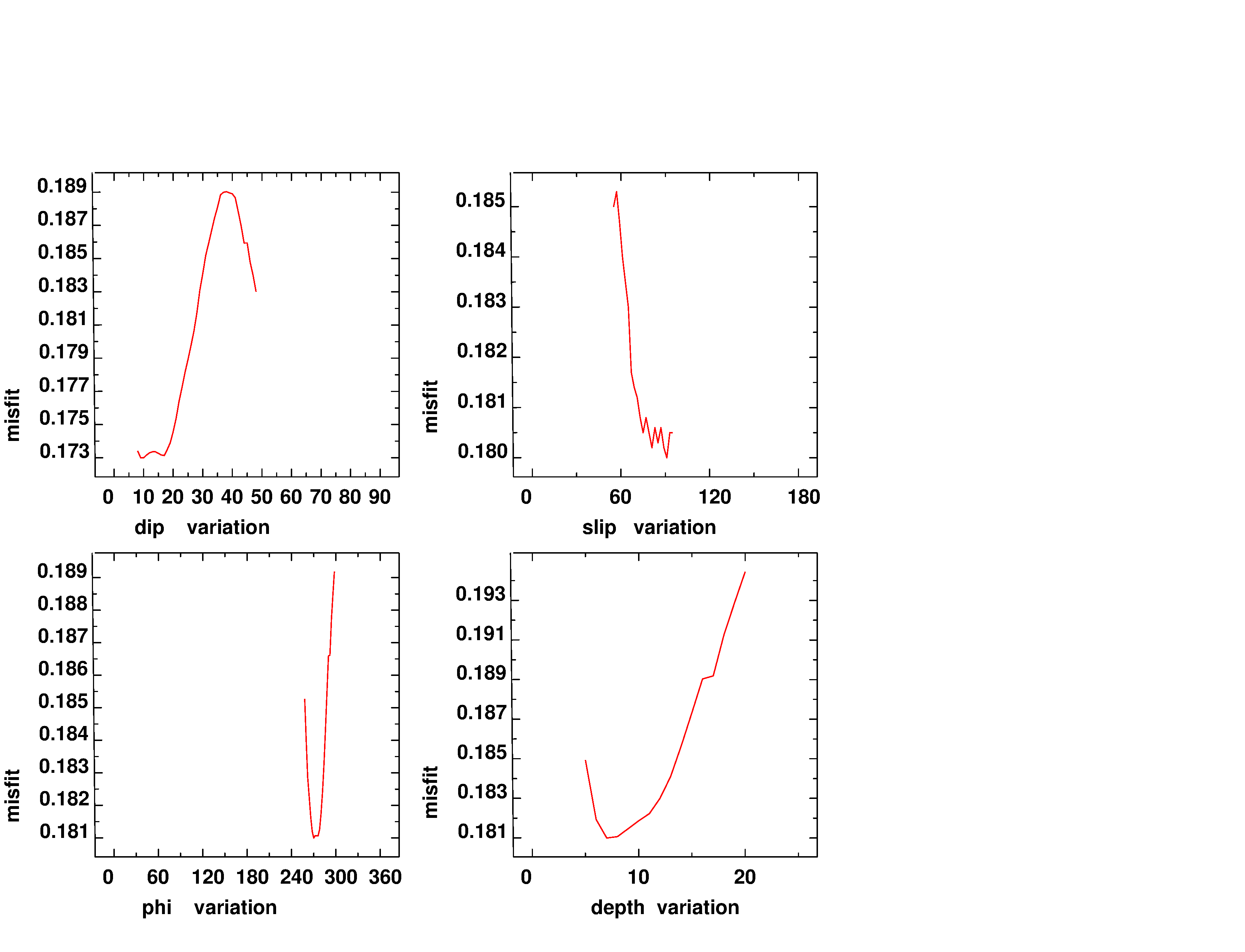
Error Estimation-Large Scale |
|---|
![]() |
Error Estimation-Small Scale |
![]() |