|
recent earthquake |
| date | time | latitude | longitude | depth | magnitude | ||
|---|---|---|---|---|---|---|---|
| °N | °E | km | Mw | ||||
| 26-04-2020 | 13:23:41.170 | 34.7222 | 24.7070 | 19.0 | 3.8 |
| strike | dip | rake | seismic moment | |
|---|---|---|---|---|
| ° | ° | ° | dyn-cm | |
| 158 | 90 | -80 | 6.22E+21 |
Event Location and Focal Mechanism |
Seismotectonic Map |
|---|---|
![]() |
![]() |
Source parameters determination |
|---|
![]() |
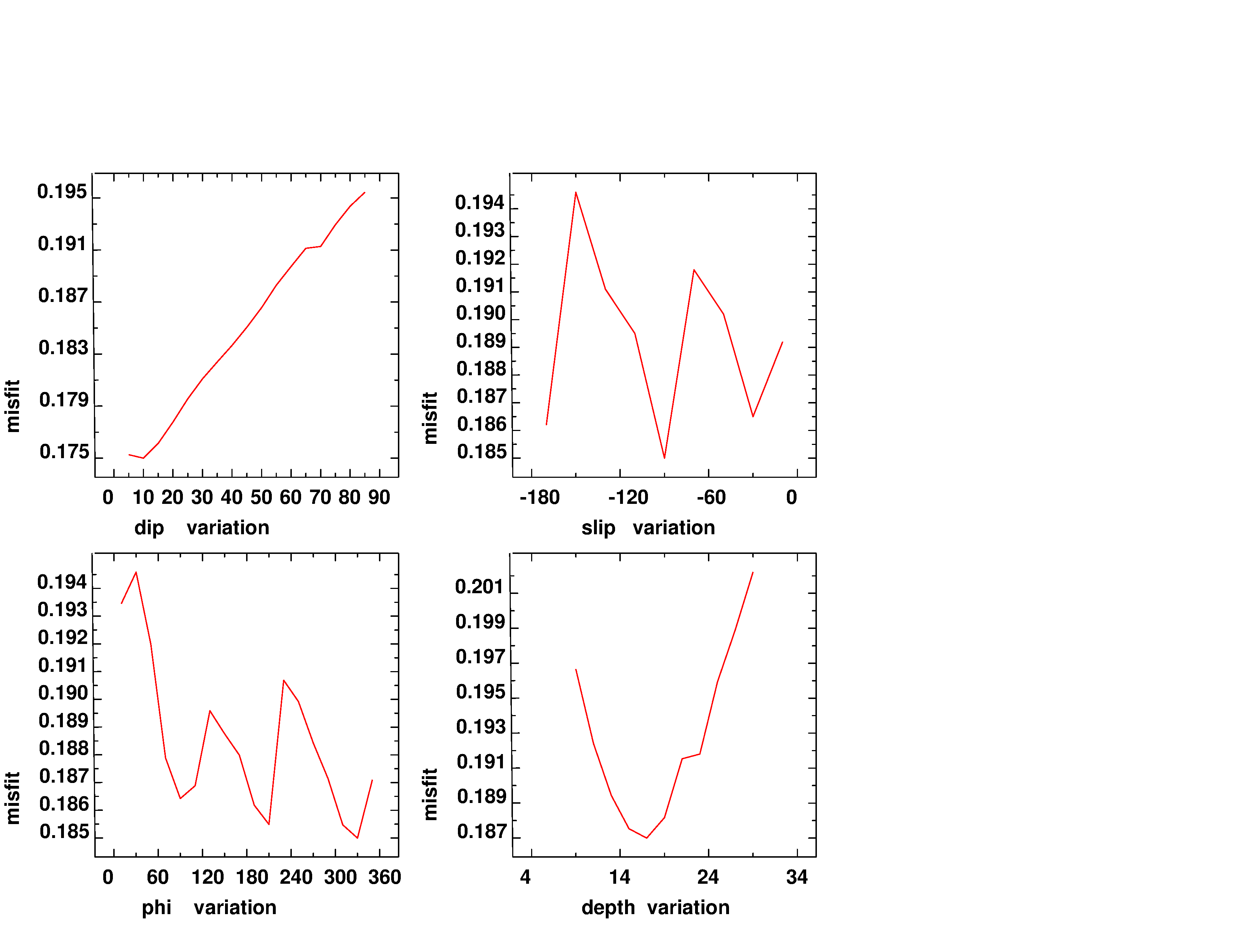
Error Estimation-Large Scale |
|---|
![]() |
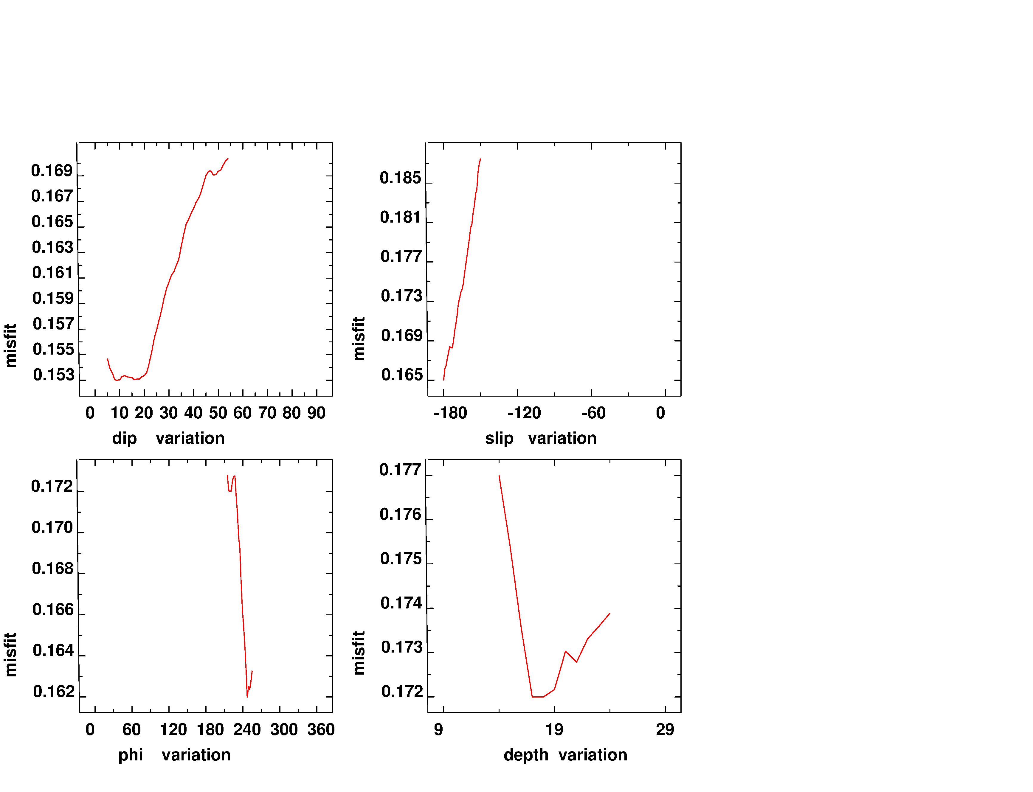
Error Estimation-Small Scale |
![]() |