|
recent earthquake |
| date | time | latitude | longitude | depth | magnitude | ||
|---|---|---|---|---|---|---|---|
| °N | °E | km | Mw | ||||
| 01-11-2019 | 05:25:45.590 | 40.5353 | 20.8572 | 12.0 | 4.9 |
| strike | dip | rake | seismic moment | |
|---|---|---|---|---|
| ° | ° | ° | dyn-cm | |
| 190 | 40 | -130 | 1.20E+23 |
Event Location and Focal Mechanism |
Seismotectonic Map |
|---|---|
![]() |
![]() |
Source parameters determination |
|---|
![]() |
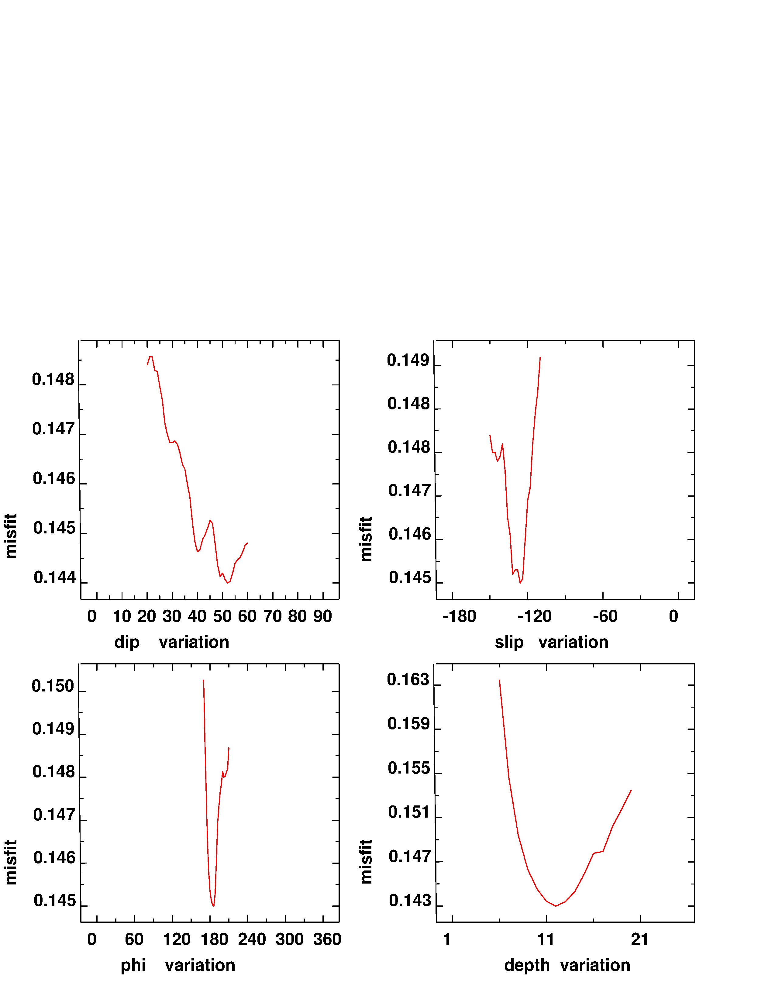
Error Estimation-Large Scale |
|---|
![]() |
Error Estimation-Small Scale |
![]() |