|
recent earthquake |
| date | time | latitude | longitude | depth | magnitude | ||
|---|---|---|---|---|---|---|---|
| °N | °E | km | Mw | ||||
| 17-10-2019 | 07:59:30.900 | 37.3046 | 20.5688 | 6.0 | 3.7 |
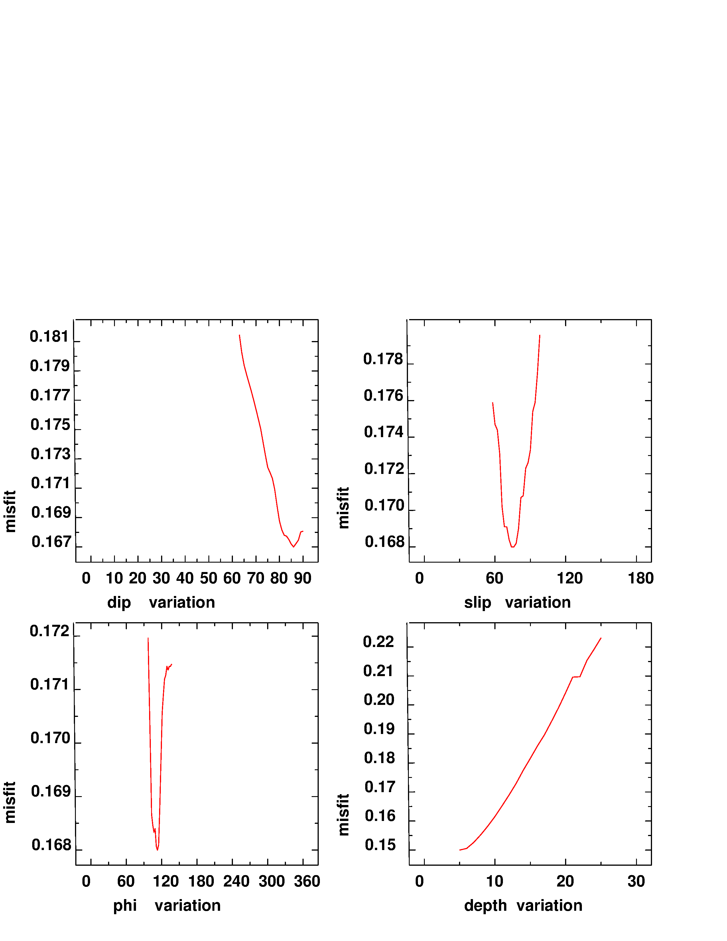
| strike | dip | rake | seismic moment | |
|---|---|---|---|---|
| ° | ° | ° | dyn-cm | |
| 115 | 87 | 74 | 4.93E+21 |
Event Location and Focal Mechanism |
Seismotectonic Map |
|---|---|
![]() |
![]() |
Source parameters determination |
|---|
![]() |
Error Estimation-Large Scale |
|---|
![]() |
Error Estimation-Small Scale |
![]() |