|
recent earthquake |
| date | time | latitude | longitude | depth | magnitude | ||
|---|---|---|---|---|---|---|---|
| °N | °E | km | Mw | ||||
| 26-09-2019 | 10:59:27.700 | 40.7338 | 27.9674 | 19.0 | 5.7 |
| strike | dip | rake | seismic moment | |
|---|---|---|---|---|
| ° | ° | ° | dyn-cm | |
| 265 | 40 | 158 | 3.83E+24 |
Event Location and Focal Mechanism |
Seismotectonic Map |
|---|---|
![]() |
![]() |
Source parameters determination |
|---|
![]() |
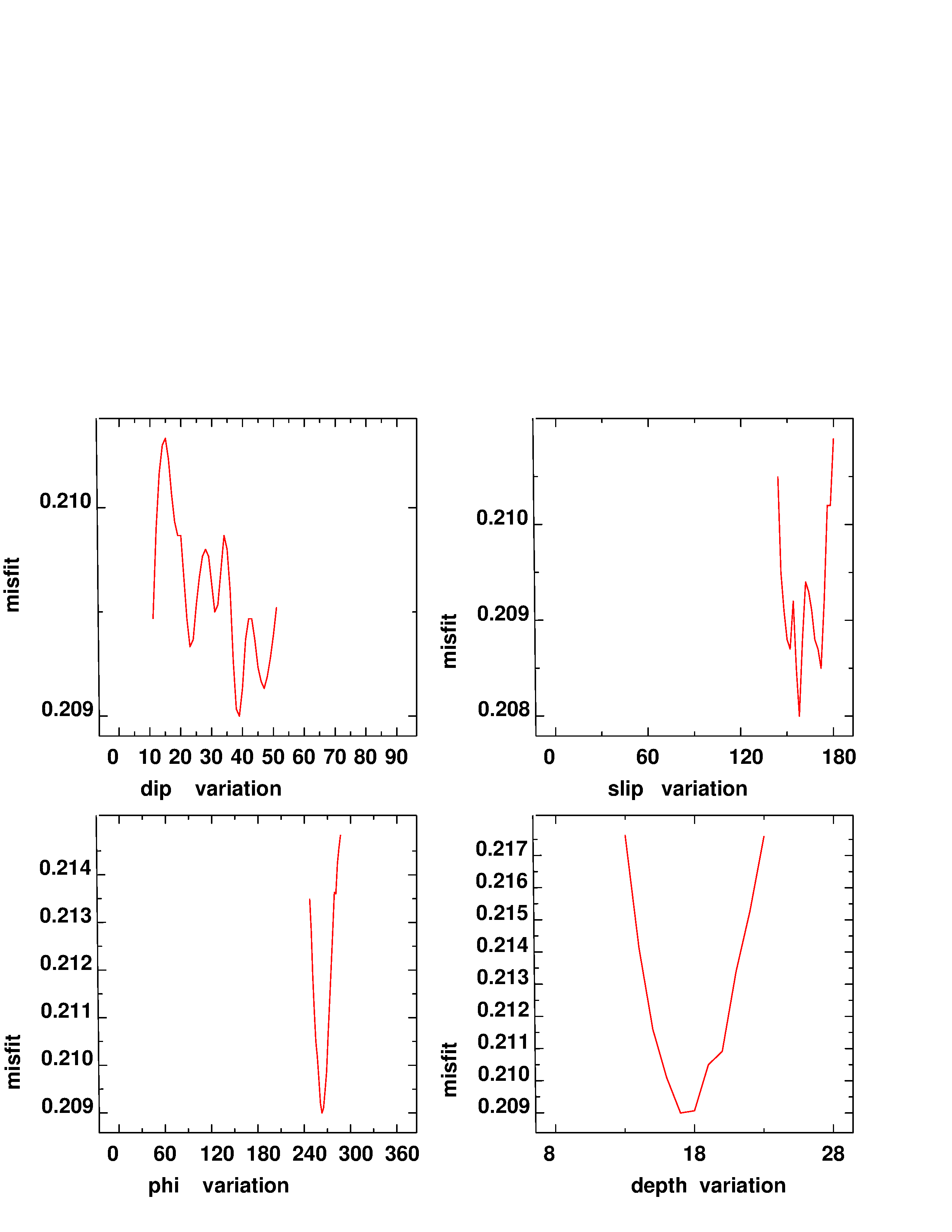
Error Estimation-Large Scale |
|---|
![]() |
Error Estimation-Small Scale |
![]() |